所屬科目:有機化學
⑴
⑵
⑶
⑷
⑸
⑹
⑺
⑻
⑵下式化合物可以進行分子內狄耳士-阿德爾反應(Diels-Alder reaction), 請寫出其產物,並標示正確的立體化學。
五、將化合物 I 在濃鹽酸處理下,會得到 II 與 III 的產物,請說明其反應機 制。(10 分)
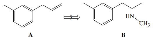
七、請寫出如何從化合物 A 經多步驟的反應得到 B 的產物。請務必要陳述每 ㄧ步驟所使用的試劑及產物。(10 分)