10. 已知 x > 0,且  。則下列敘述何者正確? 

答案:登入後查看
統計: A(66), B(78), C(112), D(481), E(0) #670233

詳解 (共 6 筆)

#1110606
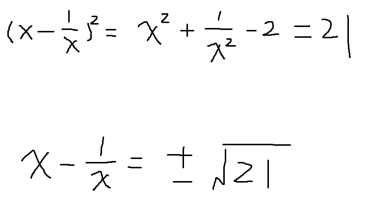
(D)一定對,但(C)呢?
錯在沒有正負號嗎?
phpym5pwX
3
0
#2823005
可能x比1/x大本題x=(5±√21)/...
(共 67 字,隱藏中)
前往觀看
3
0
#4882335

A) X>0  所以答案必為正數

B) X可能為純小數,故相減的答案可能為負數
C) X可能為純小數,故相減的答案可能為負數
     如 0.5-(1/0.5)= -1.5

3
0
#1103778
因為x>0
2
0
#1047917
為何A不對呢?
-根號7不是也可以嗎
0
0
#1104032
...感謝><
0
0