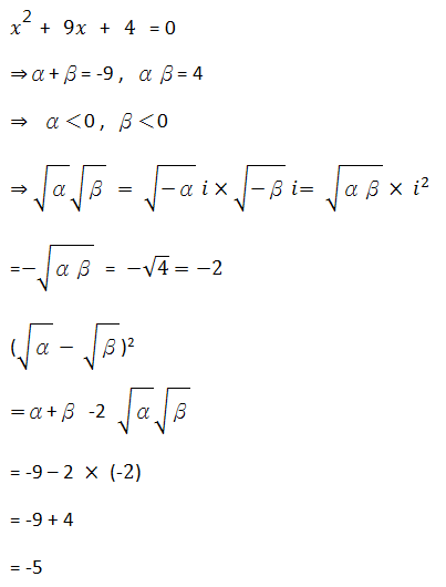
15.假設α 、β 為x2 + 9x + 4 = 0之兩根,則 ( √α - √β )2 之值為何?
(A)-11
(B)-9
(C)-7
(D)-5
答案:登入後查看
統計: A(31), B(30), C(20), D(73), E(0) #668300
統計: A(31), B(30), C(20), D(73), E(0) #668300
詳解 (共 2 筆)
#1661503

3
0
#1492108
有人可以解這題嗎?算出來是-26耶
0
1