阿摩線上測驗
登入
首頁
>
教甄◆數學
>
104年 - 中區國中數學#23230
> 試題詳解
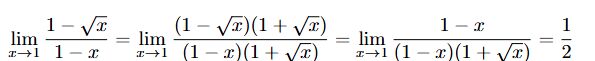
16.
?
(A) 0
(B) 1 2
(C) 1
(D) ∞
答案:
登入後查看
統計:
A(20), B(61), C(32), D(26), E(0) #871243
詳解 (共 3 筆)
luckqu0610
B2 · 2019/03/15
#3247279
(共 1 字,隱藏中)
前往觀看
10
0
葉庭惠
B3 · 2020/06/01
#4023082
(共 1 字,隱藏中)
前往觀看
5
0
北梅學士
B4 · 2025/05/31
#6447780
0
0
相關試題
1. 著名的七橋問題是與下列哪一位數學家所研究的: (A) 柏努力 (B) 費馬 (C) 尤拉 (D) 高斯
#871228
2. 某工廠有三部機器 A、B、C ,產量分別占全部產量的 60%、30%、10% ,又設三部機器所生產的不良品比率依次為 2%、3%、4% , 由全部產品中任取一產品,若發現此產品為不良品,則產自 B 機器的機率為: (A) 7/25 (B) 12/25 (C) 9/25 (D) 16/25
#871229
3. 若同時投擲一枚不公正的硬幣與一枚公正的硬幣一次,兩枚都出現正面的機率是 log3 ,試問只投擲該枚不公正的硬幣一次時,出 現正面的機率為何?
#871230
4. 擲一個骰子兩次,第一次點數大於第二次點數的機率為: (A) 1/3 (B) 5/12 (C) 4/9 (D) 7/12
#871231
5. 從 1,2,…,9 這 9 個數字中,一次任意抽取 3 個數字,求其中至少有兩個數字是連續正整數的情形有多少種? (A) 42 (B) 49 (C) 54 (D) 58
#871232
6. 根據內政部統計,50 歲的國民五年生存的機率為 0.92。王先生今年 50 歲,向壽險公司投保五年期人壽保險 4,000,000 元, 保費 350,000 元一次繳清。請問壽險公司獲利的期望值是多少元? (A) 350,000 (B) 322,000 (C) 292,000 (D)30,000
#871233
7. 若 (A) 0 (B) 22 (C) 4 (D) -8
#871234
8. 設 ,下列敘述何者錯誤? (A) f(x)有水平漸近線 y = 1 (B) f(x)有水平漸近線 y =(-1) (C) f(x)有垂直漸近線 x = 1 (D) f(x)有垂直漸近線 x =(-1)
#871235
9. 下列何者不是線性微分方程:
#871236
10. ? (A) 1/16 (B) 1/12 (C) 1/8 (D) 1/4
#871237
相關試卷
113年 - 113 基北區國立臺灣海洋大學附屬基隆海事高級中等學校_高級中等學校特色招生考試分發入學能力測驗:數學#120683
2024 年 · #120683
112年 - 112 高雄市立高雄高級中學第一學期第三次段考數學科試題 A 卷_高一科學班:複數與多項式#118924
2023 年 · #118924
110年 - 數學4-3基準量與比較量之應用(兩量之差)-應用題51-89#101420
2021 年 · #101420
110年 - 數學4-3基準量與比較量之應用(兩量之差)應用題1-50#101418
2021 年 · #101418
109年 - [無官方正解]109 彰化縣鹿港鎮草港國小_上學期期中考試:數學#125235
2020 年 · #125235
108年 - 桃園捷運新進人員甄試共同科目B-數學#74528
2019 年 · #74528
105年 - 臺北市 105 學年度公立國民小學巡迴教師聯合甄選初試基礎類科知能試題-數學#84962
2016 年 · #84962
105年 - 台船105年技術類數學#47324
2016 年 · #47324
104年 - 勞動部勞動力發展署高屏澎東分署 104 年度第 4 梯次職前訓練招訓甄試試題學科-數學#76334
2015 年 · #76334
104年 - 台船 技術類 數學題庫#24588
2015 年 · #24588