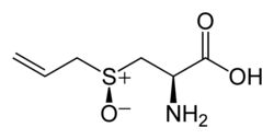
21 下列何者生藥含Alliin 成分?
(A) Garlic
(B) Mustard
(C) Vanilla
(D) Wild cherry
答案:登入後查看
統計: A(783), B(28), C(81), D(27), E(0) #489658
統計: A(783), B(28), C(81), D(27), E(0) #489658
詳解 (共 5 筆)
#3449898
2
1
#5734714
大蒜
主成份 Alliin:無味且含硫的氨基酸衍生物。
1
0
#7284700
Alliin(蒜氨酸)

0
0