22.在△AB C中,設A (a1, a2)、B (b1, b2)、C (c1, c2),且∠A、∠B、∠C的對邊分別是a、b、c有三個式子如下:
何者可以正確算出△AB C面積?
(A)只有丙
(B)只有甲、丙
(C)只有乙、丙
(D)甲、乙、丙
答案:登入後查看
統計: A(83), B(314), C(569), D(648), E(0) #871199
統計: A(83), B(314), C(569), D(648), E(0) #871199
詳解 (共 5 筆)
#1327508
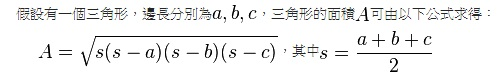
海龍公式長這樣


題幹多給人家乘了個1/2
118
1
#1327511
56
0
#1296040
19
0
#1323753
甲 稱做:海龍公式
11
0