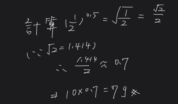
30.某放射性物質之半衰期是100天,若在剛開始蛻變時其質量為10克,則在第50天末其質量約為:
(A) 3克
(B) 5克
(C) 6克
(D) 7克。
答案:登入後查看
統計: A(16), B(31), C(9), D(108), E(0) #2126055
統計: A(16), B(31), C(9), D(108), E(0) #2126055
詳解 (共 1 筆)
#6386810

0
0