55.下列有關苯基丙烷類成分之生合成順序,何者正確?
(A)cinnamic acid → prephenic acid
(B)phenylalanine → chorismic acid
(C)shikimic acid → p-coumaric acid
(D)tyrosine → phenylpyruvic acid
答案:登入後查看
統計: A(54), B(107), C(1003), D(104), E(0) #3488323
統計: A(54), B(107), C(1003), D(104), E(0) #3488323
詳解 (共 6 筆)
#6563953
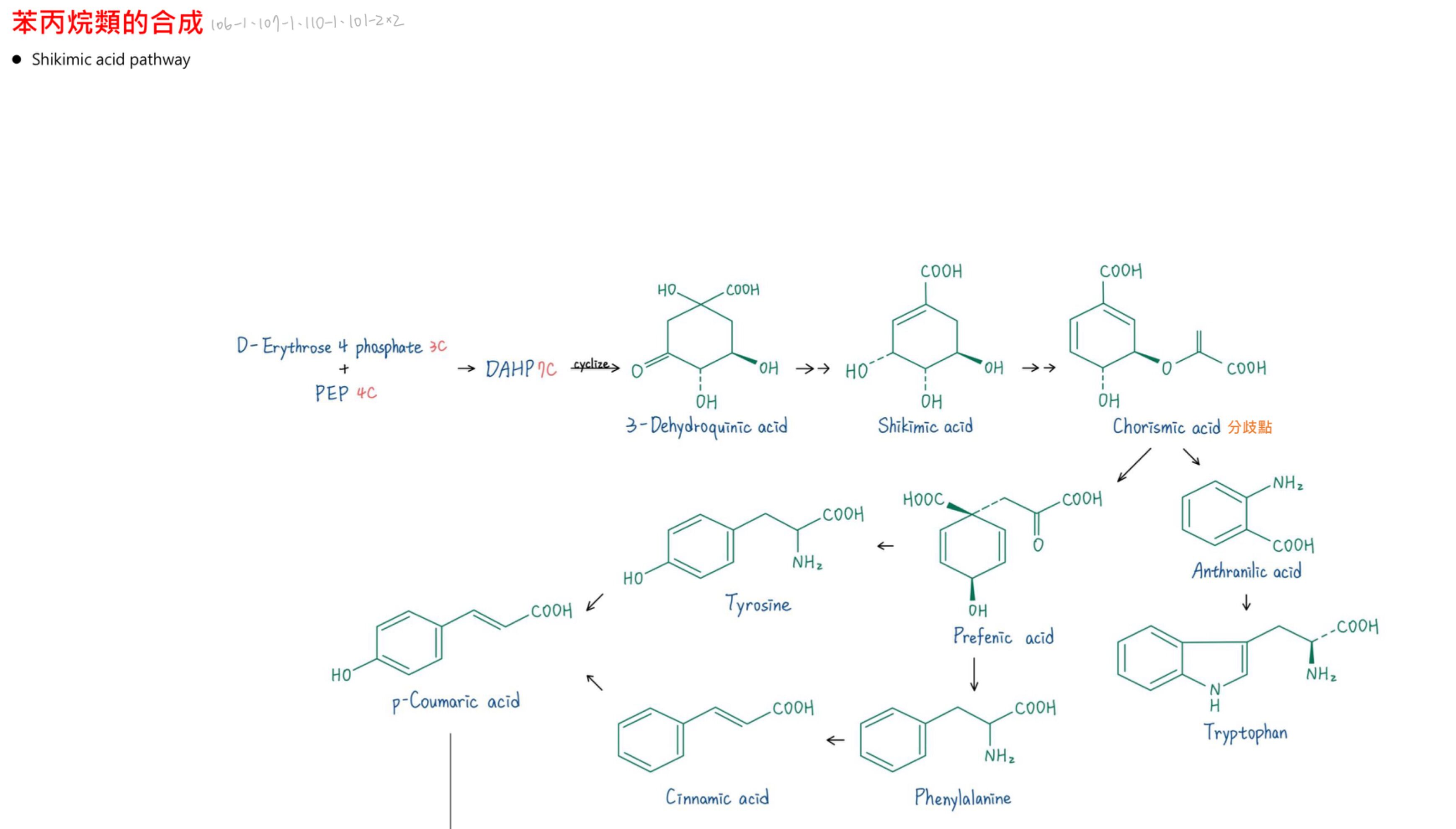
補充苯丙烷類的生合成中間物與結構,有餘力就背下來吧,以防哪天出題老師想大開殺戒
標年份的地方是101-2到114-1考過的考點,多瞄幾眼說不定下次就又考出來了

27
0
#6566087
[一次通過還願中,主要針對題目本身進行解析或提供考試時的解題想法]
[若解析不夠詳盡/侵害權益,煩請聯繫修正/刪除]
ㅤㅤ
(A) cinnamic acid → prephenic acid
→Prephenic acid[→Phenylpyruvic acid→L-Phenylalanine]→Cinnamic acid。
ㅤㅤ
(B) phenylalanine → chorismic acid
→Chorismic acid[→Prephenic acid→Phenylpyruvic acid]→L-Phenylalanine。
ㅤㅤ
(C) shikimic acid → p-coumaric acid
→Shikimic acid[→Shikimic acid 3-phosphate→5-Enolpyruvicshikimic acid 3-phosphate→Chorismic acid→Prephenic acid→Phenylpyruvic acid→
L-Phenylalanine→Cinnamic acid]→p-Coumaric acid。
ㅤㅤ
(D) tyrosine → phenylpyruvic acid
→合成Prephenic acid之後會分岔出兩條途徑
(1)→Phenylpyruvic acid→L-Phenylalanine
(2)→p-Hydroxyphenylpyruvic acid→L-tyrosine
所以就算有Phenylpyruvic acid也沒有辦法合成Tyrosine。
16
0
#6576349
PHENYLPROPANOIDS苯丙烷
生合成路徑:shikimic acid ➜ chorismic acid ➜ prephenic acid ➜ L-phenylalanine ➜ cinnamic acid ➜ p -coumaric acid ➜ caffeic acid ➜ ferulic acid ➜
5
1
#7284487
口訣:女孩求佩芬辛苦咖啡謝啦 shi cho pre phen cin cou ca fe sina
資料來源:阿摩前人
3
0
#6628860

3
0