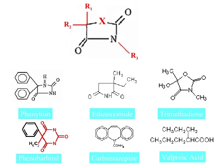
69 Phenobarbital, phenytoin,及 ethosuximide 在構造上共通的部分為何?
(A)
(B)
(C)
(D)
(A)

(B)

(C)

(D)

答案:登入後查看
統計: A(100), B(17), C(57), D(139), E(0) #473298
統計: A(100), B(17), C(57), D(139), E(0) #473298
詳解 (共 2 筆)
#1605379
ureide structure
7
0
#1224967
4
1