77.下列何者為抗病毒藥foscarnet sodium之作用標的?
(A)RNA polymerase
(B)DNA polymerase
(C)thymidine kinase
(D)thymidylate synthase
答案:登入後查看
統計: A(876), B(2837), C(840), D(625), E(0) #2973231
統計: A(876), B(2837), C(840), D(625), E(0) #2973231
詳解 (共 8 筆)
#6013922
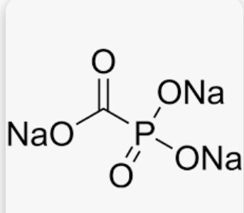
foscarnet可抑制DNA polymerase,三大重點記起來:
ㅤㅤ
1. 治療:AIDS的CMV+HSV(對DNA/RNA virus皆有效)
2. 不需活化
3. 結構有三個Na離子
2. 不需活化
3. 結構有三個Na離子
ㅤㅤ
記得微免有教到的cytomegalovirus(CMV)和單純皰疹(HSV)都是DNA virus,當下直接用這個想法解答!
15
0
#6133996
foscarnet sodium
58.抗病毒藥foscarnet sodium結構中有幾個鈉離子?
(A) 1
(B) 2
(C) 3
(D) 4
ㅤㅤ

9
0
#5693678
應該AB選項都可吧
來源:學校上課講義


4
1