阿摩線上測驗
登入
首頁
>
教甄◆資訊科
>
115年 - [無官方正解]115 臺北市立松山高級工農職業學校_正式教師甄選試題:資訊科#138619
> 申論題
貳、填充題:
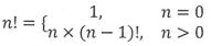
一、數學上階乘方程式為:
對應到 Python 程式,請問空格(1)程式應填入適當內容為何?
本程式輸出結果為__(2)__
相關申論題
3.
#567572
4.
#567573
5.
#567574
6.
#567575
7.
#567576
8.
#567577
五、社群媒體與演算法推薦系統,可能造成「同溫層」(Echo Chamber)或「過濾氣泡」(Filter Bubble)現象,意思是:__(9)__
#567578
六、考量無線網路 Wifi速度,若已知在理想條件下速度為: 802.11n, 20 MHz, 1 spatial stream 最高約72 Mbps 802.11n, 40 MHz, 1 spatial stream 最高約150Mbps 802.11n, 40 MHz, 2 spatial streams 最高約300 Mbps 若使用 802.11n、40 MHz、3 spatial streams,理論最高速率約為__(10)__Mbps
#567579
一、依照表格項目,簡要說明 OpenClaw 與傳統LLM的差異。
#567580
二、請簡述 OpenClaw 的工作流程,須包括必要步驟。
#567581
相關試卷
115年 - [無官方正解]115 臺北市立松山高級工農職業學校_正式教師甄選試題:資訊科#138619
115年 · #138619
114年 - 114 新北市國小暨幼兒園教師甄選試題:資訊科#127131
114年 · #127131
114年 - 114-2 臺北市立和平高中_教師甄試試題﹕資訊科#127057
114年 · #127057
114年 - 114 國立中科實驗高級中學_教師甄試試題_國小部:國小資訊專長#126465
114年 · #126465
114年 - 114 臺北市立麗山高級中學_正式教師甄選試題:資訊科#126462
114年 · #126462
114年 - 114-1 國立屏科實驗高級中等學校_專任教師甄選初試試題_高中部:資訊科技科#126399
114年 · #126399
114年 - 114-1 臺北市立建國高級中學_正式教師甄選試題:資訊科技科#126294
114年 · #126294
114年 - 114-1 臺北市立中山女子高級中_教師甄試初選筆試試題:資訊科技科#126293
114年 · #126293
112年 - 112 國立馬祖高級中學_新進教師甄選:資訊科技及資料處理專業科目#115936
112年 · #115936
112年 - 112 連江縣國民中小學暨幼兒園新進教師聯合甄選題目試卷:國中資訊科技#115847
112年 · #115847