阿摩線上測驗
登入
首頁
>
教甄◆數學
>
115年 - 115-1 國立臺南一中_教師甄選初試試題:數學#138376
> 申論題
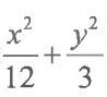
6. 求橢圓Γ:
=1的外切矩形最大面積為M,最小面積為m,求(M,m)=______。
相關申論題
1. 實數x、y滿足x²+y²=25,則的最大值為______。
#566375
2. 設△ABC的三邊長為a、b、c,且a、b、c為方程式x³−3 x²+14x−4=0的三根,求△ABC的面積。
#566376
3. 如右圖,△ABC中,點M、N分別在、上,,D是的中點,P是的交點。若,則的最小值為______。
#566377
4. 空間中有三個向量=(x1,y1,z1), =(x2,y2,), =(x3,y3,z3), 矩陣M=, MT表矩陣M之轉置矩陣。若滿足M×MT=,求|3−2−2|=______。
#566378
5. 設四面體六條稜長分別為3、2、2、2、2、2,則此四面體外接球半徑為______。
#566379
7. 一袋中有10顆黑球,開始時隨機由袋中取2顆球,再放入2顆白球,如此稱為一次操作,今操作4次,求袋中白球個數的期望值?
#566381
8. 用1、2、3、4、5、6組成一個五位數,數字可重複,若其中至少有三個不同的數字且數字1與4不相鄰的五位數有______個。
#566382
9. 平面上兩向量夾角為60度,已知=16、=10,若向量使得與的夾角為120度,求的最小值______。
#566383
10. 若=n+α,其中n∈□,0≤α<1,則n=?
#566384
11. 設數列對所有n≥3都滿足an=2an-1−2an-2。已知=205,求a1+a2之值。
#566385
相關試卷
115年 - 115-1 國立臺南一中_教師甄選初試試題:數學#138376
115年 · #138376
115年 - 115 國立嘉科實驗高級中學_國小部普通班教師甄選試題:數學#138356
115年 · #138356
115年 - 115-1 國立中央大學附屬中壢高級中學教師甄選試題:數學科#138235
115年 · #138235
115年 - 115 高雄中學正式教師甄選試題:數學科#138213
115年 · #138213
115年 - 115-1 國立中興大學附屬高級中學_正式教師甄試試題:數學科#138079
115年 · #138079
115年 - 115-1 臺北市立第一女子高級中學_正式教師甄選測驗題試題:數學科#138077
115年 · #138077
115年 - 115 新竹市立成德高級中學_正式教師甄選:國中數學科#138019
115年 · #138019
115年 - 115 新竹市立成德高級中學_正式教師甄選:高中數學科#138018
115年 · #138018
115年 - 115 國立陽明交大附中_教師甄選試題:數學科#137883
115年 · #137883
115年 - 115-1 臺中市臺中第一高級中學_教師甄選試題:數學科#137882
115年 · #137882