所屬科目:主題課程專用
Problem 4. (2.5 %o) Which of the following statement is NOT true? (A) If A B, then P( A ) ≤ P( B ). (B) If P( B ) > 0, then P(A|B) ≥ P( A ). (C) P(A∩B) > P( A ) +P( B ) - 1. (D) P(A∩BC) = P(A U∪B) - P( B ).
Problem 9. (2.5 %) For a biased coin, the probability of "heads" is 1/3. Let h be the number of heads in five independent coin tosses. What is the probability P(first toss is a head | h = 1 or h = 5)? (A) (B) (C) (D)
Problem 10. (2.5 %) A well-shuffled deck of 52 cards is dealt cvenly to two players (26 cards each). What is the probability that player 1 gets all the cases (A) (B) (C) (D)
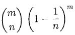
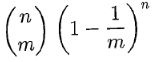
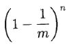
Problem 8. (2.5 %) We throw n identical balls into m urns at random, where each urn is equally likely and each throw is independent of any other throw. What is the probability that i-th urn is empty? (A)(B)(C)(D)