所屬科目:北水◆工程力學及流體力學
2.某結構上的螺栓(bolt)受到F = 牛頓的外力,力 F 與 y 方向分力Fy 的夾角θ為下列何者? (A) tanθ = (B) tanθ= (C)sinθ = (D) 700 = F cosθ
3.某個作用於剛體(rigid body)的力 ,該力對於作用點 O 的位置向量(position vector)是, 與的夾角 是θ ,點 O 至該力向量的垂直距離是 d,下列何者為錯誤的力矩(moment)表示? (A) (B) (C) (D) MO = Fd
4.右圖中的向量力P的值為 P 牛頓,請問向量力P表示成: (A) 牛頓 (B)牛頓 (C) 牛頓 (D)牛頓
5.右圖中的樑結構受到三個垂直負荷,支撐點 B 處的水平反應力 (reaction force)為何? (A) 0 kN (B) 21 kN 向上(C)6 kN 向上 (D) 12 kN 向上
7.右圖中的皮帶輪 A 與 C,以順時針轉動。皮帶上的 B 點速度 是 3.5 m/s,若忽略滑動因素,皮帶輪 A 的角速度為何? (A) 27.56 rad/s (B) 17.24 rad/s (C) 21.21 rad/s (D) 30.0 rad/s
9.下圖中的平面剛體運動中,有關點 A 與點 B 的速度關係之敘述,下列何者錯誤? (A) (B) (C) (D)
10.右圖中懸臂樑在 C 處截面的內剪力 (internal shear loading)為何? (A) 270 N (B) 540 N (C) 810 N (D) 1620 N
12.某傳動軸半徑為 r,與齒輪以鍵(key)連結,因此該軸上有鍵槽,鍵槽至軸中心的距離是 c,J 為面積 慣性矩。當該軸受到扭力 T 時,最大剪應力為: (A),K 為應力集中因子 (B)(C) (D)
13.某圓形截面的桿受到單純通過圓心之 x 軸向拉力 P,造成軸向應力σ ,下列何者之應力表示係為錯 誤? (A) σ x = σ, σ y = 0 (B) τxy = 0 (C)σ1 =σ , σ2 =0 (D) τmax = 2σ
16.如右圖中的桁架(truss)結構,A 與 B 處受到垂直力, 支撐處 E 的反應力為何? (A) 6,000 N 垂直向上 (B) 8,000 N 垂直向上 (C) 10,000 N 垂直向上 (D) 12,000 N 垂直向上
17.如右圖中的桁架(truss)結構,B 處受到 800 N 的力, 桿件 BC 的受力情形為何? (A) 1,500 N 壓力 (B) 800 N 拉力 (C) 1,500 N 拉力 (D) 1,700 N 壓力
19.如下圖中的滑輪組中,若物體 A 以 45 cm/s 向下運動,則物體 B 的速度為何?【提示: xA + (xA - xB ) = const】 (A) 45 cm/s (B) 90 cm/s (C) 145 cm/s (D) 210 cm/s
20.右圖中為齒輪與齒條(rack)組合裝置,下齒條為固定, 齒輪中心的速度是 1.0 m/s,則該齒輪的角速度為何? (A) 10 rad/s (B) 8.67 rad/s (C) 6.67 rad/s (D) 6 rad/s
21.右圖中的下方表示某合金鋼 (steel alloy)螺栓與板的接合(joint) 結構,上方的圖是該螺栓合金鋼的剪應力-剪應變關係。該螺栓的直徑 為 25.4 mm,使螺栓發生降伏的力 P 為何? (A) 25335.37 kips (B) 25.34 kips (C) 39269.91 kips (D) 39.27 kips
22.某桿件受到軸向力的情形表示於下圖中,位置 A 相對於位置 D 的軸向位移量為何? (選項中之 a 為桿件截面積,E 為楊氏模數) (A) 0 (B) (C) (D)
23.樑結構(beams)經常承受剪負荷(shear loading)及力矩負荷(moment loading)。橫向剪應力(transverse shear-stress)分佈在樑的橫截面(cross section )以致合成剪負荷。若在對稱彎曲下,某個樑是矩形截面,下列 何者的橫向剪應力表示係為錯誤? (A) (B) (C)截面的橫向剪應力是拋物線的分佈 (D)截面的橫向剪應力是直線性的分佈
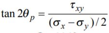
24.某個應力狀態表示為σx = -20MPa,σ y = 90MPa,τ xy = 60MPa。則最大主應力面與 x 軸的角度約為 何?【提示:經由 計算,可得】 (A) - 23.7° (B) 66.3° (C) - 47.5° (D) 42.5°
25.受中心軸向力結構的應力集中因子(stress concentration factor)定義為,若其中的, 則 A 指的是: (A)受力的最大截面積 (B)受力的最小截面積 (C)受力的平均截面積 (D)受力的最大截面積+受力的最小截面積