阿摩線上測驗
登入
首頁
>
(工業)安全工程
> 100年 - 100年專門職業及技術人員高等建築師、技師、第2次食品技師暨普通不動產經紀人、記帳士考高等_工業安全技師#27088
100年 - 100年專門職業及技術人員高等建築師、技師、第2次食品技師暨普通不動產經紀人、記帳士考高等_工業安全技師#27088
科目:
(工業)安全工程 |
年份:
100年 |
選擇題數:
0 |
申論題數:
5
試卷資訊
所屬科目:
(工業)安全工程
選擇題 (0)
申論題 (5)
【已刪除】一、試說明交流電焊機之可能的感電危害,並以下示意迴路圖說明電流檢測型自動電擊 防止裝置的基本原理與動作機制,其中 MC 為電磁接觸器。(20 分)
二、試說明 A、B、C 級化學防護具的器材差異與其適用之時機。(20 分)
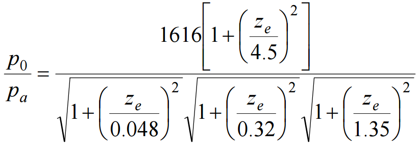
【已刪除】三、某 200 公升桶在進行可燃性液體灌裝時需先吹入氮氣,將桶內氧濃度降低,以避免 產生火災爆炸,桶內氧濃度的變化可用下列微分方程式表示:
其中C為桶內氧濃度,t為時間,V為桶之容積,Q
V
為吹入氮氣之體積流速,k為桶內 非均勻混合之修正因子(0.1<k<1)試推導桶內氧濃度由C
0
要降到C
f
所需之時間 為何?假設桶內氣體為均勻混合(k =1),計算以每分鐘 100 公升的氮氣吹入,將桶 內氧濃度由 20.9%降至 1%所需之時間為何?(20 分)
四、試說明使用研磨機(砂輪機)時之應有的安全防護。(20 分)
【已刪除】五、矽甲烷(SiH
4
)為科技產業最常用之高危害性氣體,矽甲烷雖具自燃性,但外洩至 大氣中並不一定會立即引燃,若非立即引燃,便可能延遲引燃,進而造成蒸氣雲爆 炸。矽甲烷燃燒熱約為 44,000 kJ/kg,若某儲存場所發生 1 公斤之矽甲烷外洩延遲 引燃而產生爆炸,試估算其爆炸的TNT(三硝基甲苯)當量重、10 公尺距離處之爆 炸過壓值、與爆炸過壓值為 7kPa之距離。假設矽甲烷爆炸效率為 15%,TNT之爆炸 能量為 4,680 kJ/kg,TNT在不同距離的爆炸過壓值(P
0
)可用下式估算:
其中Pα為大氣壓值,等於 101.3 kPa;
m
TNT
為爆炸的TNT當量重(kg);r 為距離(m)。(20 分)
相關試卷
114年 - 114 地方政府公務特種考試_三等_職業安全衛生:安全工程#134667
114年 · #134667
114年 - 114 地方政府公務特種考試_四等_職業安全衛生:安全工程概要#134656
114年 · #134656
114年 - 114 專技高考_工業安全技師:工業安全工程#133644
114年 · #133644
114年 - 114 高等考試_三級_職業安全衛生:安全工程#128736
114年 · #128736
113年 - 113 地方政府公務特種考試_三等_職業安全衛生:安全工程#124559
113年 · #124559
113年 - 113 地方政府公務特種考試_四等_職業安全衛生:安全工程概要#124345
113年 · #124345
113年 - 113 中央印製廠新進人員_甄試試題:工業安全工程#123105
113年 · #123105
113年 - 113 高等考試_三級_職業安全衛生:安全工程#121509
113年 · #121509
113年 - 113 普通考試_職業安全衛生:安全工程概要#121155
113年 · #121155
112年 - 112 臺灣菸酒股份有限公司從業職員及從業評價職位人員甄試_從業職員/職業安全衛生管理_專業科目 3:安全工程#137484
112年 · #137484