所屬科目:中油◆理化
1.已知m>0,b<0,則下列何者可能是y=mx+b的圖形?(A)(B)(C)(D)
6.半衰期是指某種特定物質的濃度經過某種反應降低到剩下初始時一半所消耗的時間。已知對-苯二氮的半衰期約 1 天,則初測值濃度為1ppm的樣本,需經過幾天其濃度會最接近ppm?(A)9 (B)10(C) 11(D)12
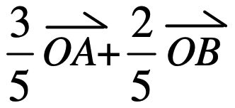
8.坐標平面上有一個三角形 OAB,若點P在線段AB上使得,則OP= ?(A)(B)(C)(D)
17.已知點為橢圓୮:上一點,則P點到橢圓୮的兩焦點距離和為何?(A)3 (B)4 (C) (D)8
18.設10支籤中有2支是有獎的,按甲、乙、丙的順序,由甲、乙、丙三人各抽一支籤,抽出後不再放回,則抽中有獎的籤之機率為何?(A)(B)(C)(D)
20.已知行列式,則=?(A)4 (B)6 (C)8 (D)12
22.如(圖22) 將某彈簧的一端固定於牆壁上,另一端以水平外力F向外拉。使彈簧達靜力平衡狀態,該彈簧的伸長量為x。現將同一彈簧的兩端皆以 3F的水平力向外拉,使彈簧達静力平衡狀態。已知該彈簧仍於彈性限度內,且忽略彈簧的重量,則該彈簧的伸長量將為何?(A)x (B)2x(C)3x (D)6x
25.已知鐵棒加熱後,體積會發生膨脹。如(圖25) 將同一材料製作成空心厚球殼,其內半徑為r,外半徑為R。將此空心鐵球殼緩慢的均勻加熱,使該鐵球的溫度增高,則下列敘述何者正確?(A)鐵球殼的内半徑r變大,外半徑R變小(B)鐵球殼的内半徑r變小,外半徑R變大(C)鐵球殼的内半徑r和外半徑R均變小(D)鐵球殼的內半徑r和外半徑R均變大
39.有一容量爲V的密閉鋼製容器,其中盛有質量為M的某氣體。如將容器中的氣體抽掉一半,使氣體質量降為,但容器末變形,則密閉容器中剩下的氣體體積最後會足多大?(A)比小(B)(C)比大,但比V小(D)V
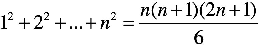
43.已知公式,則=?(A)935 (B)945 (C)955 (D)965
44.若,則log10x絕對值(|log10x|)的最大值和最小值加起來為何?(A)5 (B)4 (C)3 (D)2
45.己知某大樓高100公尺,小明在A點測得大樓頂端仰角為30°後,朝大樓方向筆直走到B 點,並測得大樓頂端仰角為45°;若小明行走的路線皆在同一個水平面上,則A、B兩點相距幾公尺?(A)(B)(C)(D)
47.有一個金字塔模型O-ABCD,其中底面ABCD為邊長2吋的正方形,頂點O到其他四頂點的距離皆為3吋,請問頂點O到底面ABCD的高度為何?(A)吋(B)吋(C)吋(D)吋
50.下列何者為有理數?(A) (B)圓周率π (C)(D)
51.若a=log23,b=log37,則log628=?(A)(B)(C)(D)
52.直線L:與下列哪一個平面平行?(A)x-y-z=3 (B)x+2y-z=2(C)2x-y-2z=1(D)3x-y-4z=3
53.己知橢圓的長軸在x軸上,則下列選項哪一個是t的可能値?(A)-3 (B)-2 (C)1 (D)3
57.如【圖57】一小球的質量為1.0公斤,從距離水平地面高度 1.8公尺處,以初速為零自由下落。小球與水平地面發生碰撞後,鉛直反彈到距離水平地面高度為0.8公尺處,設小球與地面的碰撞接觸時間為0.10秒。已知重力加速度g=10.0m/s2,求小球與地面的碰撞過程中,小球所受的合力量值約為多少牛頓?(A)20牛頓 (B)40牛頓(C)100牛頓 (D)200牛頓
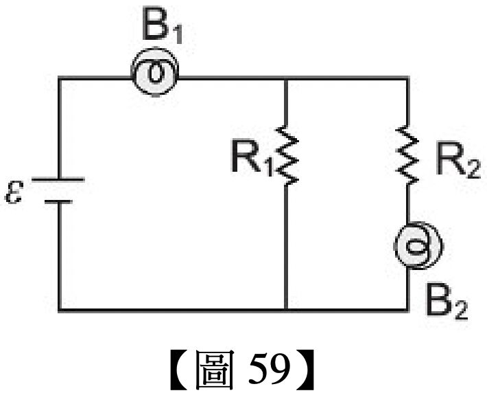
59.如【圖59】所示的電路,如果我們加大R1的電阻,則通過燈泡B1的電流、通過R1的電流、燈泡B2的亮度會發生怎樣的變化?(A)B1的電流變大、R1的電流變小、B2的亮度變暗 (B)B1的電流變小、R1的電流變大、B2的亮度變暗 (C)B1的電流變大、R1的電流變大、B2的亮度變亮 (D)B1的電流變小、R1的電流變小、B2的亮度變亮
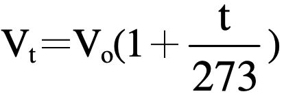
63.根據査理定律:,則定量之理想氣體,在定壓下,溫度由30°C升高至31°C時,氣體體積較原來增加若干倍?(A)(B)(C)(D)