阿摩線上測驗
登入
首頁
>
研究所、轉學考(插大)-微積分
> 100年 - 100 國立政治大學轉學生招生考試_應用數學系:微積分(一)#122269
100年 - 100 國立政治大學轉學生招生考試_應用數學系:微積分(一)#122269
科目:
研究所、轉學考(插大)-微積分 |
年份:
100年 |
選擇題數:
0 |
申論題數:
9
試卷資訊
所屬科目:
研究所、轉學考(插大)-微積分
選擇題 (0)
申論題 (9)
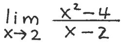
10% (a)
= 4.
10% (b)
= 0.
10% (a) Show that if f'(a) = 0 and f''(a) < 0, then f(a) is a relative maximum.
10% (b) Show that if f'(a) = 0 and f''(a) > 0, then f(a) is a relative minimum.
10% (a) Find f'(x).
10% (b) Find an equation of the tangent line of f(x) at x=2.
10% (a) Show that if f(a, b) is optimal, then
10% (b) Show that fx(a,b) + λgx(a,b) = fy(a,b) + λgy(a,b) where λ is a Lagrange multiplier.
5. (20%) Let z = f(x,y) be a function and fx and fy exist and z= P(x,y) be the tangent plane of z = f(x,y) at (a, b, f(a,b)). Show that P(a+Δx, b+Δy) - P(a, b) = fx(a,b)Δx+fy(a,b)Δy where Δx is the change in x and Δy is the change in y.