阿摩線上測驗
登入
首頁
>
工程數學(應用數學, 線性代數、微分方程、複變函數與機率)
> 100年 - 100 地方政府特種考試_三等_電力工程、電子工程、電信工程:工程數學#35876
100年 - 100 地方政府特種考試_三等_電力工程、電子工程、電信工程:工程數學#35876
科目:
工程數學(應用數學, 線性代數、微分方程、複變函數與機率) |
年份:
100年 |
選擇題數:
20 |
申論題數:
5
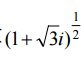
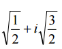
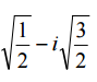
試卷資訊
所屬科目:
工程數學(應用數學, 線性代數、微分方程、複變函數與機率)
選擇題 (20)
1 考慮x > 0 。設 y1及y2 為x2y ′′ +2xy'+(x+2)y+0 的解。又知y1(1)= 0、y'
1
(1)=1、y
2
(1)=2 及 y'
2
(1)e
2
。下列何者為 y
1
及 y
2
的 Wronskian? (A)
(B)
(C)
(D)
2 下列何者不是白努利(Bernoulli)方程式? (A)
(B)
(C)
(D)
32
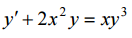
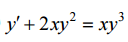
是正合(exact)微分方程式,則 g (x,y) 可為何? (A) cos(x+y) (B) x sin(x+y) (C) y'+2y=y
2
(D) y'+2xy
2
=xy
3
)s
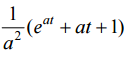
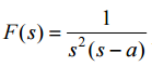
4 若F(s) 為 之拉普拉斯( Laplace)轉換,
則 f(t)為何? (A)te
at
(B)te
–
at
(C)
(D)
5 求解微分方程
,其解為何? (A)
(B)
(C)
(D)
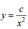
6 請找出何者為曲線
的正交曲線? (A) x
2
+2y
2
=k (B) x
2
-2y
2=
k (C) x
2
-2y
2
+x=x (D) x
2
- 2y
2
- x=k
7 有一個線性轉換
,下面那一項是
? (A)
(B)
(C)
(D)
8 向量
當作基底的三維座標為: (A)
(B)
(C)
(D)
9 若 A 為對稱矩陣,下列敘述何者錯誤? (A) A = A
T
(B) A 可對角化 (C) A 的所有特徵值均為實數 (D)若 A 之特性方程式有重根時,A 不一定可對角化
10 若 0 為矩陣
的特徵值,請問 α 為何值? (A) 1 (B)
(C) 2 (D)
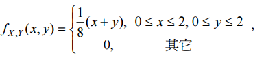
11 兩連續隨機變數X、Y 之結合機率密度函數(joint probability density function)為
, 則協方差(covariance)Cov(X, Y ) = ? (A)
(B)
(C)
(D)
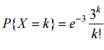
12 考慮一波式(Poisson)分布之離散隨機變數(discrete random variable)X,其值為 k 之機率是
,k = ,...0,1,2 ,試求其均值(mean) E { X}= ? (A) 3 (B) 6 (C) 9 (D) 12
13 一公正的骰子被擲 10 次,若點數 2 出現 3 次之機率為
,則
a
+b+c+d=? (A) 15 (B) 20 (C) 21 (D) 22
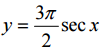
14 求
= ? (A)
(B) 1 (C) 2 (D) 4
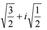
15 請計算
之值,其中
。 (A)
(B)
(C)
(D)
16 令f(z)=|z
|
2
為一複數函數,則下列的敘述何者錯誤? (A) f (z) 是一連續函數 (B)f(z)在 z = 0 可微分 (C) f (z) 在 z = 0 可解析 (D) f (z) 在 z = 1 不可微分
17 假設路徑 C 為一逆時針方向的單位圓 |z| = 1,試求
之值為何? (A) 0 (B)π i (C)
(D)
18 向量場
在點 p = (-1, 0, 1)的旋度(curl)為何? (A) i - j + k (B) 2i + 2k (C) 2i + j – k (D) 2i + 2 j
19 有一曲線之參數方程式為 x= 10sin t , y=10cos t ,其中
,請問該曲線弧長為何? (A) 5π (B) 10π (C) 15π (D) 20π
20 有三個向量
? (A) 11 (B)-11 (C) 10 (D)-10
申論題 (5)
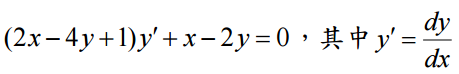
【已刪除】一、求解微分方程式
。(15 分)
【已刪除】二、請找出複數平面上函數
可 以微分的全部點,並證明之,其中Im(z
2
)為 z
2
的虛部。(10 分)
⑴證明 S 內之 4 個矩陣為線性獨立。(5 分)
⑵把 A 表示成 S 內之 4 個矩陣的線性組合。(10 分)
四、請找出表面方程式S : x
4
+y
4
+z
4
= 18在點p= (2,-1,1) 的單位法向量(unit normal vector) 及切面(tangent plane)方程式。(10 分)
相關試卷
114年 - 114 專技高考_電機工程技師:工程數學(包括線性代數、微分方程、複變函數與機率)#133679
114年 · #133679
114年 - 114 專技高考_電子工程技師:工程數學(包括線性代數、微分方程、向量分析、複變函數與機率)#133677
114年 · #133677
114年 - 114 調查特種考試_三等_電子科學組:工程數學#129578
114年 · #129578
114年 - 114 國家安全情報特種考試_三等_電子組(選試英文):工程數學#127780
114年 · #127780
113年 - 113 專技高考_電子工程技師:工程數學(包括線性代數、微分方程、向量分析、複變函數與機率)#123976
113年 · #123976
113年 - 113 專技高考_電機工程技師:工程數學(包括線性代數、微分方程、複變函數與機率)#123971
113年 · #123971
113年 - 113 調查特種考試_三等_電子科學組:工程數學#122110
113年 · #122110
113年 - 113 身心障礙特種考試_三等_電力工程:工程數學#119517
113年 · #119517
112年 - 112 地方政府特種考試_三等_電力工程、電子工程:工程數學#118376
112年 · #118376
112年 - 112 專技高考_電機工程技師:工程數學(包括線性代數、微分方程、複變函數與機率)#117639
112年 · #117639