阿摩線上測驗
登入
首頁
>
有機化學
> 100年 - 100 調查特種考試_三等_化學鑑識組、醫學鑑識組:有機化學#45237
100年 - 100 調查特種考試_三等_化學鑑識組、醫學鑑識組:有機化學#45237
科目:
有機化學 |
年份:
100年 |
選擇題數:
0 |
申論題數:
19
試卷資訊
所屬科目:
有機化學
選擇題 (0)
申論題 (19)
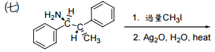
⑴如何利用紅外光譜(Infrared spectroscopy)官能基的特性吸收,區分一級(1
o
), 二級(2
o
),以及三級(3
o
)的有機胺;
⑵如何利用苯磺醯氯(benzenesulfonyl chloride)與有機胺反應,藉以判斷胺的級數。(每小題 5 分,共 10 分)
二、從結構的觀點解釋胍(guanidine)和咪唑(imidazole)何者的鹼度較高。(10 分)
⑴乙醇的前手性中心(prochirality center)上的兩個氫原子,何者為pro-R。(3 分)
⑵請標示菸鹼醯胺腺嘌呤二核苷酸的 Re face 在那一側,並畫出還原態輔酶(NADH) 的結構(只需表示參與反應的結構)。(6 分)
【已刪除】四、請利用箭號表示電子流動的方向,對下列反應詳細畫出合理的反應機構。(10 分)
【已刪除】五、已知苯甲酸甲酯的對位取代基(Y)會影響其皂化(sponification)的反應活性 (reactivity)。當取代基分別為CHO,NO
2
,NH
2
,CH
3
,Br,OCH
3
,請將其皂化( sponification)的反應活性次序從高排到低,並解釋原因。(10 分)
【已刪除】六、克雷布斯循環(Krebs or TCA cycle)的第一步反應是將 oxaloacetate 和 acetyl CoA 進行反應得到檸檬酸根(citrate)。請針對此反應,利用箭號表示電子流動的方向, 詳細畫出合理的反應機構。請在適當的時機加酸或鹼。(10 分)
【已刪除】七、有一化合物的分子式為C
10
H
12
O,經Na
2
Cr
2
O
7
作用後會氧化為 4-甲氧基苯酸( p-methoxybenzoic acid)。此化合物的
1
H NMR核磁共振光譜如下所示。請畫出此化 合物的化學結構,並詳細解釋化學位移和耦合分裂與結構的關係。(11 分)
⑴ (一)
【已刪除】
【已刪除】
【已刪除】
【已刪除】
【已刪除】
【已刪除】
【已刪除】
【已刪除】