阿摩線上測驗
登入
首頁
>
四技二專統測◆數學B
> 101年 - 101 四技二專統測_共同科目:數學(B)#16188
101年 - 101 四技二專統測_共同科目:數學(B)#16188
科目:
四技二專統測◆數學B |
年份:
101年 |
選擇題數:
25 |
申論題數:
0
試卷資訊
所屬科目:
四技二專統測◆數學B
選擇題 (25)
1. 假設 x
4
-4x
3
+ 2x
2
+ ax +b可以被 x
2
-x-2整除,則下列有關a、b之敘述何者正確?
(A) a=15 (B) b>0 (C) a+b=-7 (D) a-2b=9
2. 已知 3
x
=2,則 27
-x
之值為何?
(A) 1/2 (B) 1/4 (C) 1/8 (D) 1/16。
3.
4.已知
之值為何? (A)5 (B)2 (C)1 (D)0。
5. 已知圓的面積為
為何?
(A) -7 (B) -14 (C) -21 (D) -28
6. 設有下列樣本資料:1 , 2 , 3 , 4 , 5 , 6 , 7,則此樣本標準差為何? (A) 14/3 (B) √14/3 (C) √42/3 (D) √50/3
7.將mhchcm這些英文字母任意排列,問共有幾種不同的排列方法? (A)90 (B)60 (C)45 (D)30。
8. 若直線L : x-y=1與圓 C : x
2
+ y
2
+2 x+2 y+ 1=0 交於A、B兩點,則線段AB 之長為何?
(A) √2 (B) √2/2 (C) √2/3 (D)√2/4
9. 已知直線 L1,L2 方程式分別為 L1 : 4x+(m-1)y=15,L2 : (2m+3)x+6y=7,且L1 垂直 L2,則m之值為何? 7
(A) -13/7 (B) -7/6 (C) -3/7 (D) -3/8
10.
11. 已知紙箱中有紅球2顆、黑球3顆,每顆球被抽出的機會均等。現將一次抽取二球稱為一次抽獎,若抽出的二球中恰有一紅球,則可得10元;若抽出的二球中有二紅球,則可得60元;若抽出的二球中無紅球,則可得20元,則一次抽獎的期望值為何? (A)30 (B)19.2 (C)18 (D)15。
12. 已知點Q為二元一次聯立不等式
圖形上的一點,則Q之坐標可能為下列何者?
(A) (-5,0) (B) (-2,0) (C) (0,5) (D) (0,6)
13.
14. 已知數列 a
k
=3k-4, k=1 , 2 , 3 , … , 100,則下列敘述何者正確?
(A)此數列為等差數列,公差為 -4
(B)95為此數列的第34項
(C)
(D) a
3
+a
5
+a
7
+a
9+
a
11
=85
15.
16. 下列何者正確?
(A) sin240
。
=cos30
。
(B) cos(-330
。
)=-cos30
。
(C) sec225
。
=csc45
。
(D) tan135
。
=-cot45
。
17. 設直角坐標平面上四點 A(-2,1),B(b1,b2) ,C(c1,c2) ,D(4,3) 在同一直線上,依序為A、B、C、D,且B、C兩點將線段
三等份,則點C之坐標 (c1,c2)為何?
18. 直線
三直線相交於一點,則a之值為何?
(A) -4 (B) -2 (C) 2 (D) 4
19.
20. 有關方程式
的解,下列敘述何者正確?
(A)只有二實數解 (B)所有解的乘積為2 (C)沒有負實數解 (D)所有解的和為9。
21. 已知三角形△
1
的三邊長分別為8、7、5,面積為x;三角形△
2
的三邊長分別為8、6、6,面積為y;三角形△
3
的三邊長分別為9、7、4,面積為z,則下列何者正確?
(A) y<z (B) x<z (C) x<y (D) x+y+z=√800
22.
23. 已知函數
的圖形不會經過第四象限,則
a
之值可能為下列哪一數?
(A) -1 (B) 0.4 (C) 1.8 (D) 3.2
24. 已知向量
的長度為2,向量
的長度為5,且
、
兩向量夾角為2π/3 ,則向量3
+
的長度為何?
(A) √11 (B) √31 (C)√30 (D)√21
25. 已知
a、b、c、d
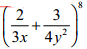
為整數,若
展開式中,
項的係數為
,則
a-b-c+d
之值為何?
(A) -11 (B) -5 (C) 1 (D) 10
申論題 (0)
相關試卷
114年 - 114 四技二專統測_共同科目:數學(B)#137774
114年 · #137774
113年 - 113 四技二專統測_共同科目:數學(B)#122408
113年 · #122408
112年 - 112 四技二專統測_共同科目:數學(B)#117807
112年 · #117807
111年 - 111 身心障礙學生升學大專校院甄試試題_四技二專組_共同科目:數學(B)#118920
111年 · #118920
111年 - 111 四技二專統測_共同科目:數學(B)#107790
111年 · #107790
110年 - 110 四技二專統測_共同科目:數學(B)#98473
110年 · #98473
109年 - 109 四技二專統測_共同科目:數學(B)#85160
109年 · #85160
108年 - 108 四技二專統測_共同科目:數學(B)#77362
108年 · #77362
107年 - 107 四技二專統測_共同科目:數學(B)#68919
107年 · #68919
106年 - 106 四技二專統測_共同科目:數學(B)#61708
106年 · #61708