阿摩線上測驗
登入
首頁
>
統測◆08工程與管理類◆(二)計算機概論
> 101年 - 101 四技二專統測_工程與管理類_專業科目(二):計算機概論#18111
101年 - 101 四技二專統測_工程與管理類_專業科目(二):計算機概論#18111
科目:
統測◆08工程與管理類◆(二)計算機概論 |
年份:
101年 |
選擇題數:
50 |
申論題數:
0
試卷資訊
所屬科目:
統測◆08工程與管理類◆(二)計算機概論
選擇題 (50)
1. MS Windows 與 Mac OS 等作業系統所使用的圖形化使用者介面,簡稱為何? (A) GPS (B) GUI (C) IDE (D) SAP
2. 在物件導向程式語言中,用於描述物件外觀、大小、位置等的特徵值,稱之為何? (A) 方法 (B) 繼承 (C) 屬性 (D) 裝封
3. 請問在流程圖中,「資料輸入或輸出」與「報表輸出」分別以何種圖示表示?
4. 機器語言及組合語言是屬於下列何種程式語言類別? (A) 物件導向語言 (B) 低階語言 (C) 中階語言 (D) 高階語言
5. 下列何者不是用來評估 LCD 顯示器好壞的重點? (A) 亮度 (B) 反應時間 (C) 感光元件 (D) 對比值
6. 電腦中的「基本輸入/輸出系統」(BIOS)屬於下列何者選項? (A) 報表軟體 (B) 套裝軟體 (C) 韌體 (D) 作業系統
7. 單面單層DVD光碟片( DVD-5 )的最大容量為4.7 GB,請問單面雙層DVD光碟片( DVD-9 ) 的最大容量,比單面單層DVD光碟片的最大容量大多少? (A) 3.8GB (B) 4.7GB (C) 5.6GB (D) 6.4GB
8. 下列何者不是電腦儲存容量的單位? (A) DB (B) GB (C) MB (D) TB
9. 智慧型手機結合下列何種功能,可用於標示出使用者現在的地理位置? (A) CAI (B) CAM (C) CIM (D) GPS
10. 在 Windows XP 預設系統中,下列何者可用於監測本機網路的使用狀況? (A) 工作管理員 (B) 裝置管理員 (C) 檔案管理員 (D) 協助工具管理員
11. 請問最高轉速為 7200RPM 的硬碟,每一秒最多旋轉幾圈? (A) 60 (B) 120 (C) 180 (D) 240
12. 執行完下列 Visual Basic 程式片段後,印出的結果為何?
Dim T,K,R As Integer
T=5 : K=6 : R=0
Rem R=T+K
Print R
(A) R (B) 11 (C) 0 (D) R=T+K
13. 在 Windows XP 中,格式化磁碟的功能不支援下列何種檔案系統? (A) FAT (B) FAT32 (C) HFS+ (D) NTFS 公告試題 僅供參考工程與管理類 專業科目(二) 第 3 頁 共 8 頁
14. 下列哪一種記憶體,用於製作USB隨身碟? (A) DRAM (B) Flash memory (C) SRAM (D) PROM
15. 即時互動的即時通軟體,所使用的傳輸機制為何? (A) 全雙工 (B) 半雙工 (C) 單工 (D) 半單工
16. 下列哪一個10進位數字,代表16進位數字系統中的(ACE)
16
? (A) 2567 (B) 2677 (C) 2766 (D) 2776
17. 下列哪一個選項不是「全球資源定位器」(URL)第一部分所標示出的常用存取協定? (A) ftp (B) http (C) mailto (D) tcpip
18. 下列電子資料的處理類型中,何者最適合以即時處理的方式來作業? (A) 薪資計算作業 (B) 水電費計算作業 (C) 核能安全監控 (D) 四技二專統一入學測驗閱卷
19. 在 Visual Basic 中,位元組(Byte )資料型態可儲存的最大數字為何? (A) 127 (B) 255 (C) 32767 (D) 65535
20. 以下四種 Visual Basic 的資料型別,何者占用最多的記憶體? (A) 布林(Boolean) (B) 單精準度浮點數(Single ) (C) 長整數(Long) (D) 日期時間(Date )
21. 下列何者不是用為擴充槽的規格? (A) AGP (B) ISA (C) LPT (D) PCI
22. 在Windows XP控制台中,下列何種電源選項的功能會儲存目前文件和檔案的狀態,然後 關機。之後當使用者重新開啟電源後,會將關機前文件和檔案的狀態還原到畫面上? (A) 關閉監視器 (B) 關閉硬碟 (C) 系統待命 (D) 系統休眠
23. 使用者瀏覽網站時,網站在使用者電腦儲存使用者瀏覽相關資訊的檔案稱之為? (A) blog (B) cookie (C) intranet (D) ssl
24. 下列哪一個Visual Basic程式語言敘述,會先判斷測試條件為真(True )時,才執行迴圈內 的敘述? (A) Do While ... Loop (B) Do Until ... Loop (C) Do ... Loop While (D) Do ... Loop Until
25. 當有一個節點損壞時,整個網路就癱瘓不能動,是下列哪一種網路拓樸(Topology)? (A) 環狀拓樸 (B) 匯流排拓樸 (C) 星狀拓樸 (D) 網狀拓樸
26. 消費者到博客來網路書店購買書籍,是屬於下列何種電子商務的經營模式? (A) B2B (B) C2B (C) B2C (D) C2C
27. 下列關於公共軟體(Public Domain Software )的敘述何者不正確? (A) 使用者不需付費 (B) 仍受著作權保護 (C) 使用者可以複製 (D) 可以同時在多台電腦使用
28. 有關作業系統的敘述,下列何者有誤? (A) 具有記憶體管理功能 (B) 可以控制輸入及輸出裝置 (C) 屬於應用軟體 (D) 提供使用者操作介面 公告試題 僅供參考工程與管理類 專業科目(二) 共 8 頁 第 4 頁
29. 執行完以下 Visual Basic 程式,總共會在螢幕顯示幾列結果?
Private Sub Form_Activate()
Dim i,j As Integer
For i=1 to 9
For j=1 to 9 Step 2
Print i; " x"; j; "="; i * j; " ";
Next j
Print
Next i
End Sub
(A) 5 (B) 9 (C) 45 (D) 81
30. 一個單核心 CPU 無法執行下列哪一種作業? (A) 單人單工 (B) 單人多工 (C) 分時處理 (D) 平行處理
31. 網路卡實體位址(MAC address)的長度總共有幾個位元( bits)? (A) 16 (B) 24 (C) 32 (D) 48
32. 「磁碟重組」主要目的為何? (A) 增進磁碟讀寫效能 (B) 增加磁碟空間 (C) 修復磁碟毀損 (D) 避免檔案遺失
33. 下列主機板上的插槽,何者支援熱插拔(Hot Swap)的功能,並可用於連接硬碟? (A) AGP (B) IDE (C) PCI (D) SATA(Serial ATA)
34. 在 Windows XP 檔案屬性中,不包含下列何種日期? (A) 建立日期 (B) 修改日期 (C) 存取日期 (D) 列印日期
35. 在 IPv4 的網路定址中,如果 IP 位址最前面開始的兩個位元為 10,則該 IP 位址是屬於 哪一個網路等級? (A) Class A (B) Class B (C) Class C (D) Class D
36. 當變更 Windows XP 系統設定值,造成系統不穩定的現象,則可利用下列哪一選項,讓 電腦恢復到變更前的狀態? (A) 磁碟重組 (B) 新增或移除程式 (C) 工作管理員 (D) 系統還原
37. 執行完下列 Visual Basic 程式片段後,要使變數 c 的結果為"ABC123ABC",須執行下列 哪一選項?
Dim a , c As String
Dim b As Integer
a="ABC" : b=123
(A) c=a+b+a (B) c=a&b&a (C) c=a+b&a (D) c=a&b+a
38. 在 Visual Basic 中,下列何者為正確日期資料? (A) $1/ 1 / 2012$ (B) @1/ 1/2012@ (C) %1/ 1/2012% (D) #1/ 1/ 2012# 公告試題 僅供參考工程與管理類 專業科目(二) 第 5 頁 共 8 頁
39. 下列何者不是描述演算法的方式? (A) 文字敘述 (B) 流程圖 (C) 虛擬碼 (D) 甘特圖
40. 在 Windows XP 中,下列敘述何者正確? (A) 可執行檔的副檔名為 exe (B) 圖片檔的副檔名為 mpg (C) 視訊影片檔的副檔名為 mp3 (D) 批次檔的副檔名為 wma
41. 下列 Visual Basic 宣告敘述,何者不正確? (A) Dim Print As Integer (B) Dim T As String (C) Dim A(19)As Integer (D) Dim Beauty As Boolean
42. 在 TCP/IP 通訊協定中,下列何者不屬於應用層( application layer)的通訊協定? (A) ARP (B) FTP (C) HTTP (D) SMTP
43. 執行完下列 Visual Basic 的 Form_Activate 程式後,印出結果為何?
Private Sub Form_Activate()
Dim X,Y,Z As Integer
X=5 : Y=6 : Z=2
Print P(X,Y,Z)
End Sub
Function P(A,B,C)
P=(A+B) ^C
End Function
(A) P( 5, 6,2) (B) 11 (C) 121 (D) 562
44. 執行完下列 Visual Basic 程式片段後,會在螢幕顯示幾個星號?
Dim A,B As Integer
B=10
For A=1 To B Step 1
If(A MOD 2=0)Then Print "*"
Next A
(A) 5 (B) 6 (C) 9 (D) 10
45. 某微處理器時脈頻率為 100 MHz,假設執行 1 個指令需要 3 個時脈,則執行該指令需要 多少時間? (A) 0.3ns (B) 3ns (C) 30ns (D) 300ns
46. 在 Visual Basic 中,運算式
,結果為何? (A) 3 (B) 4 (C) 5 (D) 6
47. 一組 10 個已排序的數值資料,若用二元搜尋法找其中某一個特定值,至多需要比對幾次 即可找到? (A) 3 (B) 4 (C) 5 (D) 9
48. 下列何者是第 3 代( 3G)的行動通訊技術? (A) GPRS (B) GSM (C) LTE (D) W-CDMA 公告試題 僅供參考工程與管理類 專業科目(二) 共 8 頁 第 6 頁
49. 下列敘述何者不正確? (A) 資料匯流排只負責傳送資料給記憶體 (B) CPU 中的算術與邏輯單元(ALU)負責算術運算與邏輯判斷 (C) 控制匯流排負責傳送 CPU 的控制訊號 (D) 位址匯流排負責傳送位址
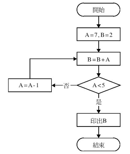
50. 流程圖如右圖所示,請依照流程圖執行,最後印出 B的值為何?
(A) 20 (B) 24 (C) 27 (D) 36
申論題 (0)
相關試卷
110年 - 110 四技二專統測_工程與管理類_專業科目(二):計算機概論#98533
110年 · #98533
109年 - 109 四技二專統測_工程與管理類_專業科目(二):計算機概論#85133
109年 · #85133
108年 - 108 四技二專統測_工程與管理類_專業科目(二):計算機概論#76263
108年 · #76263
107年 - 107 四技二專統測_工程與管理類_專業科目(二):計算機概論#76264
107年 · #76264
106年 - 106 四技二專統測_工程與管理類_專業科目(二):計算機概論#61693
106年 · #61693
105年 - 105 四技二專統測_工程與管理類_專業科目(二):計算機概論#62188
105年 · #62188
104年 - 104 四技二專統測_工程與管理類_專業科目(二):計算機概論#21065
104年 · #21065
103年 - 103 四技二專統測_工程與管理類_專業科目(二):計算機概論#17960
103年 · #17960
102年 - 102 四技二專統測_工程與管理類_專業科目(二):計算機概論#17989
102年 · #17989
100年 - 100 四技二專統測_工程與管理類_專業科目(二):計算機概論#125939
100年 · #125939