阿摩線上測驗
登入
首頁
>
有機化學
> 101年 - 101 地方政府特種考試_四等_化學工程:有機化學概要#41455
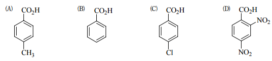
101年 - 101 地方政府特種考試_四等_化學工程:有機化學概要#41455
科目:
有機化學 |
年份:
101年 |
選擇題數:
25 |
申論題數:
13
試卷資訊
所屬科目:
有機化學
選擇題 (25)
1 茚三酮(ninhydrin)水合物常用以檢測下列何種化合物?
(A)胺基酸 (B)苯磺酸 (C)羧酸 (D)醯胺類
2 2,4-二硝基氟苯可用以鑑定: (A)碳水化合物 (B)脂質(lipid) (C)多核芳香族化合物 (D)胜肽(peptide)
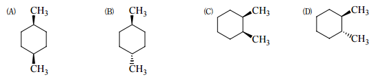
3 乳糖在稀酸中水解後產生: (A)葡萄糖和果糖 (B)果糖和半乳糖 (C)半乳糖和葡萄糖 (D)兩分子半乳糖
4 下列化合物,何者與 2 當量的IO
4
-
作用會產生二氧化碳?
5 何者為下列反應的主要產物?
6 下列化合物中何者酸性最強?
7 下列化合物,何者具有芳香族特性(aromaticity)?
8 某一化合物在氫核磁共振光譜(
1
H NMR)的化學位移 δ值為 1.0(三重線),1.6(六重線),2.4 (三重線)及11.2(單線);其
13
C NMR之化學位移δ值為13.7, 18.7, 36.2及 179.4,請問下列那一個 化合物符合此一性質?
9 乙烯酮(ketene)為相當活潑的反應中間物,下列化合物中何者與三乙胺((C2H5)3N)作用會生成乙 烯酮?
10 下列試劑中,何者最不適宜將硝基還原成為胺基?
11 下列化合物中何者是 γ-內醯胺(γ-Lactam)?
12 在紅外線光譜圖中,下列各酮化合物何者於 1700~1800 cm
-1
範圍內有最大波數(cm
-1
)吸收訊號?
13 下列何組共振結構錯誤?
14 完成下列還原反應,何者正確?
15 一般最常用於將鹵化烷轉換為格林納(Grignard)試劑的溶劑為: (A)苯 (B)乙醚 (C)己烷 (D)氯仿
16 下列四種醇,何者最不易與ZnCl
2
/ 濃HCl(Lucas reagent)進行反應? (A)C
6
H
5
CH
2
OH (B)(CH
3
)
2
CHOH (C)CH
3
CH
2
CH
2
OH (D)(CH
3
)
3
COH
17 下列結構之正確國際標準命名(IUPAC)為:
(A) 2-甲基-3-丁醇 (B) 3-甲基-2-丁醇 (C) 1,2-二甲基丙醇 (D) 3-甲基丁醇
18 在強烈氧化反應下,一級醇可氧化為羧酸,下列各項中,何者可將一級醇氧化為醛? (A)CrO
3
‧H
2
SO
4
(B)
(C)酸性高錳酸鉀溶液 (D)Ag(NH
3
)
2
+
19 下列那一種化合物之紫外線吸收光譜的波峰所呈現的波長最長?
20 下列那一反應是反式加成的?
21 下列那一種碳陽離子中間體最穩定? (A)CH
3
C(CH
3
)CH
2
CH
3
(B)CH
3
C(CH
3
)CH=CH
2
(C)CH
3
CH(CH
3
)CHCH
3
(D)CH
2
=C(CH
3
)CH
2
CH
2
22 有順反(cis-trans)異構性的化合物通常可能含有: (A)光學活性 (B)三重鍵 (C)雙鍵 (D)掌性中心(chiral center)
23 下列那一個分子偶極矩為零?
24 在照光下,將 3-甲基-1-丁烯與氯氣反應,所得之單氯產物中,有幾對鏡像異構物? (A)0 (B)1 (C)2 (D)3
25 格林納(Grignard)試劑與 1 當量羧酸作用,產生: (A)酯類 (B)第三級醇 (C)酮類 (D)羧酸鹽(carboxylate)
申論題 (13)
【已刪除】(1)
【已刪除】 ⑵
【已刪除】 ⑶
【已刪除】 ⑷
【已刪除】 ⑸
【已刪除】 ⑹
【已刪除】 ⑺
【已刪除】 ⑻
【已刪除】 ⑼
【已刪除】 ⑽
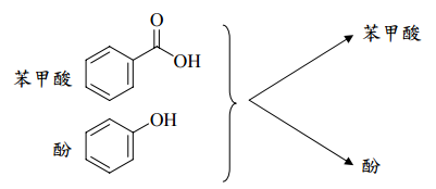
【已刪除】二、如何從含有苯甲酸和酚的有機混合物中,利用萃取(extraction)的方法個別分 離出苯甲酸和酚?(10 分)
三、請寫出聚乙烯醇(polyvinyl alcohol)的分子結構;在微量的硫酸催化下,聚 乙烯醇可與丁醛(C
3
H
7
CHO)進行縮合反應(condensation),請寫出此反應 的分子結構。(10 分)
【已刪除】四、寫出下列反應流程圖中所缺少的試劑,或形成的產物 A 至 E。(10 分)
相關試卷
114年 - 114 公務升官等考試_薦任_化學工程:有機化學#133257
114年 · #133257
114年 - 114 調查特種考試_三等_化學鑑識組、醫學鑑識組:有機化學#129586
114年 · #129586
114年 - 114 一般警察特種考試_二等_刑事鑑識人員材料及化學物品鑑析組:有機化學#127790
114年 · #127790
114年 - 114 關務特種考試_三等_化學工程(選試英文):有機化學#126661
114年 · #126661
114年 - 114 關務特種考試_四等_化學工程(選試英文):有機化學概要#126655
114年 · #126655
113年 - 113 調查特種考試_三等_化學鑑識組、醫學鑑識組:有機化學#122084
113年 · #122084
113年 - 113 關務特種考試_三等_化學工程(選試英文):有機化學#119488
113年 · #119488
113年 - 113 關務特種考試_四等_化學工程(選試英文)、化學工程(選試日文):有機化學概要#119484
113年 · #119484
112年 - 112 地方政府特種考試_四等_化學工程:有機化學概要#118363
112年 · #118363
112年 - 112 地方政府特種考試_三等_化學工程:有機化學#118140
112年 · #118140