阿摩線上測驗
登入
首頁
>
熱工學
> 101年 - 101 專利商標審查特種考試_三等_機械工程:熱工學#42154
101年 - 101 專利商標審查特種考試_三等_機械工程:熱工學#42154
科目:
熱工學 |
年份:
101年 |
選擇題數:
0 |
申論題數:
10
試卷資訊
所屬科目:
熱工學
選擇題 (0)
申論題 (10)
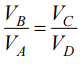
⑴請繪出其 T-S 圖,並說明循環的所有過程。(10 分) V V
【已刪除】 ⑵當比熱比 k 為常數時,若以理想氣體來進行卡諾循環,證明
。(10 分)
⑶處在何狀況下的氣體,其行為接近理想氣體?(5 分)
⑴氣體動力循環分析中常用空氣標準假設(air standard assumptions),請解釋此假 設。(5 分)
⑵繪出狄塞爾循環 P-V 圖,並搭配圖說明各理想過程。(10 分)
⑶使用空氣標準假設,求出柴油引擎在加熱結束後的溫度(K)及循環的熱效率(%)。 (10 分) [空氣性質:氣體常數R=0.287 kJ/kg‧K,等壓比熱C
p
=1.005 kJ/kg‧K,等容比 熱C
v
=0.718 kJ/kg‧K,比熱比k=1.4]
⑴請繪出此引擎的理想循環 T-S 圖,搭配圖說明各過程。(10 分)
⑵實際循環中壓縮機及渦輪機的等熵效率皆為 80%時,使用空氣標準假設,求出壓 縮機及渦輪機各別出口溫度(K),以及所需的輸入熱量(kJ/kg)。(15 分) [氦氣性質:等壓比熱C
p
=5.1926 kJ/kg‧K,比熱比k=1.667]
⑴有一 2000 kW 之柴油引擎發電機,平時以 80%的速度運轉,當燃料進入柴油發電 機燃燒後一部分能量轉為發電用,另一部分以廢熱的形式排放至大氣中,其所排 放的廢熱,分別為引擎排放的廢氣 360℃,質量流率 16,000 kg/hr 和引擎的冷卻水 75℃,體積流率 75 CMH,假設廢氣入口溫度為 35℃,冷卻水入口溫度為 42℃, 試求柴油引擎產生之總功率(kw)及熱效率(%)。(10 分) [廢氣C
p
=1.1 kJ/ kg‧K;水C
p
=4.18 kJ/ kg‧K,ρ=982 kg/m
3
]
⑵承上題,某一有機朗肯循環 ORC,採用工作流體 R245fa,其機體溫度控制在 108℃、壓力控制在 1.5 MPa,ORC 之熱效率可達到 16%,若將此系統裝置於上 述之柴油發電機,透過熱交換器進行廢熱回收發電,假設熱交換器之效率為 70%, 試求可回收多少功率之廢熱(kw),及可提升之柴油發電機效率(%)。(15 分)
相關試卷
114年 - 114 公務升官等考試_薦任_機械工程:熱工學#133223
114年 · #133223
114年 - 114 關務特種考試_三等_機械工程(選試英文):熱工學#126654
114年 · #126654
113年 - 113 關務特種考試_三等_機械工程(選試英文):熱工學#119464
113年 · #119464
112年 - 112 公務升官等考試_薦任_機械工程:熱工學#117329
112年 · #117329
112年 - 112 關務特種考試_三等_機械工程:熱工學#113922
112年 · #113922
111年 - 111 關務特種考試_三等_機械工程:熱工學#107584
111年 · #107584
110年 - 110 公務升官等考試_薦任_機械工程:熱工學#103661
110年 · #103661
110年 - 110 關務特種考試_三等_機械工程:熱工學#98265
110年 · #98265
109年 - 109 關務特種考試_三等_機械工程:熱工學#86412
109年 · #86412
108年 - 108 公務升官等考試_薦任_機械工程:熱工學#80446
108年 · #80446