阿摩線上測驗
登入
首頁
>
國營事業◆1.統計學 2.品質管理
> 101年 - 101 經濟部所屬事業機構_新進職員甄試_工業工程:1.統計學 2.品質管理#34295
101年 - 101 經濟部所屬事業機構_新進職員甄試_工業工程:1.統計學 2.品質管理#34295
科目:
國營事業◆1.統計學 2.品質管理 |
年份:
101年 |
選擇題數:
60 |
申論題數:
0
試卷資訊
所屬科目:
國營事業◆1.統計學 2.品質管理
選擇題 (60)
1.下列何者為質性資料(qualitative data) ? (A)人口數(B)教育程度(C)數學成績(D)電腦銷售量
2.下列何者不是衡量資料的集中趨勢? (A)中位數(B)眾數 (C)平均數 (D)全距
3.—組數據資料6、7、5、6、6,下列何者不正確? (A)眾數=6 (B)全距=2 (C)中位數=5 (D)平均數=6
4.已知右偏分配如【圖1】所示,μ為平均數,Mo為眾數,Md為中位數,下列何者正確? (A) μ>M0>Md (B) μ>Md> M0 (C) M0 >Md>μ (D) Md>μ>M0
5•設隨機變數X的機率分配如右【表1】,則眾數=? (A)0 (B)l (C)2 (D)3
6.若連續隨機變數X具有下列的機率函數
,則當x=2時,機率為何?(A)0(B)0.5(C)0.25(D)1
7.某家米廠宣稱所生產的良質米每包重量都足5公斤,為證明廠商所言屬實,打算進行抽驗, 則假設檢定為: (A) H0:μ≦5H
1
:μ5 (B)
(C) H0:μ=5H
1
:μ =
5 (D)
8.下列何種機率分配,其期望值等於變異數? (A)指數分配 (B)常態分配 (C)卜瓦松分配 (D)二項分配
9.有關F分配二自由度為υ 1、υ 2,下列何者不正確? (A)
(B)當 υ 2 →oo 時,E(F)趨近於 1 (C)當υ1 、υ2→∞時 ,F趨近於標準常態分配 (D)F分配為一單峰分配
10.下列有關t分配敘述,何者不正確? (A)期望值為0 (B)偏態係數為0 (C)峰態係數為3 (D)t分配較常態分配曲線平坦,即t分配曲線的高度較低。
11•有四组數字 Gl=(5,5,5,5,5)、G2=(7,6,5,6,7)、G3=(9,7,5,7,9)、G4=(3,4,5,4,3),哪一組資料的標 準差最大? (A) G1 (B) G2 (C) G3 (D) G4
12•如果一個統計量的期望值等於被估計的母數,則稱該統計量具有下列哪一種性質? (A)不偏性 (B)有效性 (C) 一致性 (D)充分性
13.下列何者為不連續機率分配? (A)常態分配 (B)矩形分配 (C)指數分配 (D)卜瓦松分配
14.設X為隨機變數,機率函數為
,則y=? (A) 1/6 (B) 1/9 (C) 1/12 (D) 1/15
15.(A) 3、 21 (B)2、 18 (C)2、14 (D)3、18
16•承第15題,若隨機差異SSE=252,則MSE= ? (A) 84 (B) 14 (C) 12 (D) 18
17.在計算迴歸時,當總變異SST=1000,隨機差異SSE=190,則相關係數為何? (A) 0.81 (B) 0.19 (C) 0.09 (D) 0.9
18•下列何者可以用於成對樣本檢定? (A) Wilcoxon符號等級和檢定法 (B) Kruskal-Wallis H檢定法 (C) Friedman檢定法 (D) K-S檢定法
19.相關係數r所在的範圍為何?(A)-1 < r < 1(B)-1 ≦ r ≦ 1(C)0 ≦ r ≦ 1(D)-∞ ≦ r ≦ ∞
20.獨立性檢定(test of independence )其樣本統計量為何種分配? (A)t分配 (B)X
2
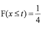
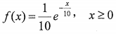
分配 (C)常態分配 (D)F分配
21.提出全面品質管制(TQC)為下列哪一位管理大師? (A)戴明 (B)費根堡 (C)朱蘭 (D)克勞斯比
22.有關P-D-C-A循環中,「教育訓練」是屬於下列哪一個階段? (A) Plan (B) Do (C) Check (D) Action
23.下列哪一項製程變異原因,屬於可歸屬原因? (A)原料之變異 (B)機器之振動 (C)不正確的原料 (D)環境不良
24.「量測儀器之維護」屬於品質成本之哪一項? (A)預防成本 (B)評估成本 (C)内部失敗成本 (D)外部失敗成本
25.—個製程水準有5個標準差,其製程能力指標Cp為何? (A) 1 (B) 1.33 (C) 1.67 (D)2
26. (A)二項分配 (B)超幾何分配 (C)卜瓦松分配 (D)指數分配
27.承第26題,X的變異數為何? (A)0.1 (B) 0.9 (C) 1 (D) 0.3
28.下列何者為計量值管制圖? (A)
-R管制圖(B)p管制圖 (C)c管制圖 (D)u管制圖
29.下列何者非管理大師石川馨所提出? (A)品管圈 (B)全公司品質管制 (C)品質始於教育,終於教育 (D)品質損失
30.下列何者不屬於QC七大手法? (A)特性要因圖 (B)散佈圖 (C)層別法 (D)系統圖
31.下列有關管制圖的敘述,何者不正確? (A)由蕭華特發明 (B)用於偵測製程中機遇性與非機遇性原因 (C)當有一樣本點落在管制區外,表示製程異常,需採取改善行動 (D)只要樣本點都落在管制界限内,表示製程穩定
32.下列有關品質改善管理工具,何者需使用統計資料進行分析? (A)親和圖 (B)直方圖 (C)關聯圖 (D)PDPC
33.在執行六個標準差的步驟時,「畫出高階流程圖」是屬於DMAIC的哪一個階段? (A)衡量 (B)分析 (C)定義 (D)改善
34.在品質改善管理工具中,依不同的部門、工作方法、零件、設備、地點等分別蒐集資料,以 找出其間差異並加以改善的方法為何? (A)親和圖 (B)關聯圖 (C)層別法 (D)矩陣圖
35.在六個標準差參與人員中,屬於專職,需投入全部心力於專案,領導專案小組成員達成專案 目標,為六個標準差原理、技巧與工具的主要執行者,是屬於下列哪一個層級? (A)盟主 (B)黑帶大師 (C)黑帶 (D)綠帶
36.下列何者非品管圈活動的特點? (A)品管圈成員由主管指派重要幹部組成 (B)圈長應具備品管常識,以便能領導及教育圈員 (C)魚骨圖為使用的工具之一 (D)在進行品管圈活動時,需營造成員間自由發言的氣氛
37.AOQ是指下列哪一項? (A)平均出廠品質(B)可接受品質水準 (C)平均出廠品質界限(D)平均總檢驗個數
38.下列何種情況,可以不用抽樣檢驗? (A)破壞性檢驗 (B)檢驗費用高 (C)產品品質狀況良好且穩定 (D)受檢物品個數多
39.在品質抽樣檢驗下,消費者可接受之產品的最低品質水準,稱為: (A)AQL (B) LTPD (C)消費者冒險率 (D)生產者冒險率
40.下列哪一項文件化程序不是ISO-9001所強制要求的? (A)文件管制 (B)管理階層審查 (C)不合格品管制 (D)内部稽核
41.設隨機變數X、Y有下列不連續的聯合機率函數
(A) 1/12 (B) 1/40 (C) 1/20 (D) 1/15
42(A) 0.28 (B) 0.12 (C) 0.18 (D) 0.82
43•承第 42 題,P(
\B) = ? (A) 0.42 (B) 0.5 (C) 0.7 (D) 0.4
44.某公司有員工一百人,按其職位與性別分類如【表2】,則求 P(M\S) = ? (A) 0.15 (B) 0.25 (C) 0.4 (D) 0.6
45.若隨機變數X的機率函數為
,則變異數 為何?(A) 0.01 (B) 0.1 (C) 10 (D) 100
46.假設X1、X2為獨立的隨機變數
’ N為常態分配,若丫=5X1+10X
2
,則V(Y)=? (A) 85 (B) 275 (C) 625 (D) 697
47.統計一家商店從上午9點至下午6點每小時來店客人數,得以下資料9、12、18、25、14、11 、15、29、35,則第3四分位數為何? (A) 15 (B) 18 (C) 25 (D) 29
48.下列敘述何者不正確? (A)區間估計比點估計更精確 (B)信賴係數增加,信賴區間的長度增加 (C)樣本數增加,信賴區間變小 (D)信賴區間愈大,精確度愈大
49.假設隨機變數X的機率函數為
'為使其分配函數
,則t=?(A) 1/4 (B) 1/2 (C) 1 (D)2
50t分配在自由度為5時,與F分配的關係為何? (A)t(5) = F(l,5) (B) t(5) = F(5,l) (C) t
2
(5) = F(1,5) (D) t
2
(5) = F(5,l)
51.假設P管制圖之不良率為0.02,若要管制下限LCL大於0,則樣本大小需為多少? (A)450 (B)441 (C)490 (D)550
52.若從某批產品抽取100個樣本數,平均數為15,標準差為4,則
管制圖之管制上限UCL為何? (A) 19.8 (B) 16.2 (C) 15.8 (D) 15.4
53_—個系統包含3個零件A、B、C,以串並聯方式組成如【圖2】,零件A、B、C的可靠度分 別為0.8、0.75、0.8,則該系統的可靠度為何? (A) 0.48 (B) 0.76 (C) 0.52 (D) 0.99
54.—個製程規格Cp=3 ’若USL=35,LSL=26,則標準差 σ = ? (A) 0.5 (B) 1 (C) 1.5 (D)3
55•下列何種抽樣計畫其保證品質為不生產不合格品? (A) Dodge-Roming (B) MIL-STD-105E (C) MIL-STD-1916 (D) MIL-STD-414
56.下列何者為選別型抽樣計畫? (A) MIL-STD-105E (B) Dodge-Roming (C) MIL-STD-414 (D) MIL-STD-1916
57•以下有關CSP-1抽樣計畫,何者不正確? (A)由Dodge所提出 (B)以AQL為基礎 (C)為連續性抽樣計畫 (D)由100 %檢驗與抽樣計畫組成
58.下列何者為檢定力的定義? (A) P(接受
為偽) (B) P(拒絕
為偽) (C) P(接受
為真) (D) P(拒絕
為真)
59.有關型I錯誤α與型n錯誤β,下列何者正確? (A)在樣本大小固定時,α減小,β増大 (B)兩者相加等於一 (C)在進行右尾檢定時,當臨界點往右移,α、β同時減小 (D)檢定時若接受虛無假設,則表示該假設完全正確
60.ISO-9001有關管理審查的輸入項目,不包含下列哪一項? (A)人員訓練 (B)客戶的回饋 (C)改善的建議 (D)稽核的結果
申論題 (0)