所屬科目:警專◆甲組數學
1.設為自然數,,則之值為: (A)21 (B) 22 (C) 23 (D) 24 。
2.已知A(9, 0)、B(12, 0),且A'、B'兩點都在直線y=x上,且:交於點C(8, 2),則線段長度 為:(A)2(B)3 (C) (D)
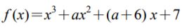
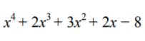
4.設方程式有三個相異的有理根,則整數女為: (A)30 (B) 43 (C) -27 (D)-19 。
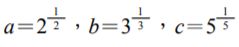
6. 設,則 a、b、c之大小順序為: (A) a< b< c (B) a< c< b (C) b<a< c (D) c<a< b 。
7.已知log2 = 0.3010,可使的整數部分為三位數的正整數n有幾個? (A) 10 (B) 11 (C) 12 (D) 13 。
8.已知△ABC的三高為,則△ABC的形狀是: (A)鈍角三角形 (B)直角三角形 (C)等腰三角形 (D)等腰直角三角形 。
9.已知圓内接四邊形各邊長為 = 4, = 3, = 4,= 6,試求對角線的長度為: (A) (B) (C) (D)
10.以的所有六次方根為頂點,在複數平面上所圍的六邊形面積為: (A) 6 (B) 6(C) 32 (D) 32 。
11.設,且的夹角為60°,則的内積之最小值為:(A) (B) (C) (D)
12.設A(3, 2), B(1, 4),若線段交直線於P點,且,則m之值為: (A) (B) (C) (D) 。
13.空間三點A(2, -1,1), B(-1, 2, 0), C(1, 1, 2),試求點B到直線的距離為: (A) (B) (C)(D)°
14.設二直線,下列敘述何者正確? (A)L1與L2為相交於一點的二直線 (B) L1與L2為歪斜線 (C) L1 = L2 (D) L1 // L2。
15.在平面坐標系中直線,圓,則圓C在直線L上的正射影長為: (A)l (B)2 (C)3 (D)4 。
16.設 P(x, y, z)在球面:上,令 ,則 A值範圍為: (A) (B) (C) (D)。
17.坐標平面上有一線段=8,則在同一平面上使得的面積為12且周長為18的點P共有幾個? (A) 0 (B) 1 (C) 2 (D) 4 。
18.設A為實數,若方程式的圖形為貫轴與x轴平行之雙曲線,則A之範圍為: (A) (B) (C)(D) 。
19.在展開式中X5項的係數為:(A)-540 (B) -270 (C) -135 (D)215 。
22. 一袋中有白球3個、黑球2個,曱、乙兩人輪流由袋中任取一球,由曱先取,取出後不放回,求曱在乙之 前取得白球的機率為: (A) (B) (C) (D) 。
24.三平面 的圖形為: (A)三平面交於一點 (B)三平面交於一直線 (C)兩平面重合,與第三平面交於一直線 (D)兩平面平行,與第三平面各交於一直線 。
25.若矩陣,求所有元素的和為: (A) 80 (B) 96 (C) 102 (D) 122 。
26. ’ 則點(x,y)在 xj平面上的面積為: (A) 12 (B) 10 (C) 8 (D) 14 。
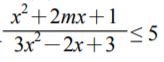
27.對任意實數x,恆滿足之整數m共有幾個? (A) 25 (B) 27 (C) 29 (D)31 。
28.已知存在,則下列各敘述何者正確? (A) 均存在 (B) 均存在且 (C)兩者至少有一存在 (D)可能均不存在 。
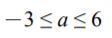
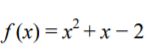
29.對所有,函數恆遞增,則a值的最佳範圍為下列哪一段區間? (A) (B) (C) (D) 。
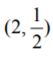
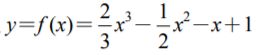
30.曲線與以曲線上的點(1 ,一2)為切點的切線L所圍成的面積為: (A) (B) (C) (D)
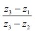
31.在複數平面上,下列各敘述哪些正確? (A)對任意三相異複數z1, z2, z3,若為實數,則之對應點為直角三角形的三頂點(B)以為頂點的三角形是直角三角形 (C) 三點共線 (D) 三點共線 (E) 四點共圓。
32.設二多項式的最高公因式為,最低公倍式為,若deg f(x) = 2,下列敘 述哪些正確? (A) (B) (C) (D) (E) 。
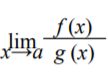
33.設,則下列敘述哪些正確? (A)若 x>1,則(B)若x>1,則 (C)若,則(D)若0<x<1,則(E)若 x = 1, 則 。
34.關於的圖形,下列敘述哪些正確? (A)週期是2π (B)振幅是2 (C)y= f(x)的圖形與j轴的交點為(0, ) (D) y= f(x)的圖形對稱於原點 (E)存在實數a,使得f(a) = a 。
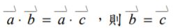
35.設為三向量,則下列敘述哪些正確? (A) (B) (C) (D) (E)
36.關於空間中的直線L:,下列各直線哪些與L重合? (A) (B) (C)(D) (E)
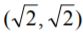
37.已知等轴雙曲線Γ的一條漸近線為x=0,中心坐標為(0,0),且Γ通過點,試問下列敘述哪些正確? (A)Γ的另一條漸近線為y= 0 (B)Γ的貫轴在直線y = -x上 (C) r的共輛轴在直線y=x上 (D)點(-1, -1)為Γ的一個頂點 (E)點為Γ的一個焦點 。
39.在二位數中任取一數,則下列敘述哪些是正確的? (A)奇數之機率為(B)個位數字比十位數字大之機率為 (C)個位數字等於十位數字之機率為 (D)數字不含0之機率為 (E) 6的倍數之機率為。
40.函數j,則下列敘述哪些是正確的? (A)函數y= f(x)的極大值為 (B)若切線斜率為2,則切點坐標可能為 (C)函數y= f(x)的極小值為 (D)若切線斜率為2,則切點坐標可能為 (E)若曲線y=f(x)與直線y=2x+k交於相異的三點,則A的範圍為。