阿摩線上測驗
登入
首頁
>
有機化學
> 101年 - 101 關務特種考試_四等_化學工程:有機化學概要(重複)#42268
101年 - 101 關務特種考試_四等_化學工程:有機化學概要(重複)#42268
科目:
有機化學 |
年份:
101年 |
選擇題數:
0 |
申論題數:
20
試卷資訊
所屬科目:
有機化學
選擇題 (0)
申論題 (20)
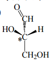
⑴間二硝基苯(m-dinitrobenzene)
⑵(2E,4Z)-2,4-己二烯酸((2E,4Z)-2,4-hexadienoic acid)
⑶N,N-二甲基乙醯胺(N,N-dimethylacetamide)
⑷酚(phenol)
⑸雙環[3.2.1]辛烷(bicyclo[3.2.1]octane)
【已刪除】 ⑴
【已刪除】 ⑵
【已刪除】 ⑶
【已刪除】 ⑷
【已刪除】 ⑸
【已刪除】 ⑹
【已刪除】 ⑴
【已刪除】 ⑵
【已刪除】 ⑴
【已刪除】 ⑵
【已刪除】 ⑶
【已刪除】 ⑷
【已刪除】五、化合物 A 雙鍵位置上氫的化學位移為δ 5.60。化合物 B 雙鍵位置上 α H 的化學位移 為δ 6.22,β H 的化學位移為δ 4.82。化合物 B 之 α H 的化學位移值較化合物 A 雙鍵 上氫的化學位移值大,而化合物 B 之 β H 的化學位移值較化合物 A 雙鍵上氫的化學 位移值小,請說明理由。(10 分)
【已刪除】六、在下列反應中,那一個鹵化物的反應速率最快?並說明理由。(8 分)
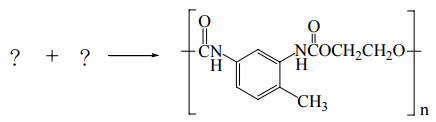
【已刪除】七、一級胺和二級胺可用下列化學反應辨別;請寫出下列二反應之主要產物 A 和主要產 物 B,並說明如何利用反應觀測到的結果,辨別一級胺和二級胺。(10 分)
相關試卷
114年 - 114 公務升官等考試_薦任_化學工程:有機化學#133257
114年 · #133257
114年 - 114 調查特種考試_三等_化學鑑識組、醫學鑑識組:有機化學#129586
114年 · #129586
114年 - 114 一般警察特種考試_二等_刑事鑑識人員材料及化學物品鑑析組:有機化學#127790
114年 · #127790
114年 - 114 關務特種考試_三等_化學工程(選試英文):有機化學#126661
114年 · #126661
114年 - 114 關務特種考試_四等_化學工程(選試英文):有機化學概要#126655
114年 · #126655
113年 - 113 調查特種考試_三等_化學鑑識組、醫學鑑識組:有機化學#122084
113年 · #122084
113年 - 113 關務特種考試_三等_化學工程(選試英文):有機化學#119488
113年 · #119488
113年 - 113 關務特種考試_四等_化學工程(選試英文)、化學工程(選試日文):有機化學概要#119484
113年 · #119484
112年 - 112 地方政府特種考試_四等_化學工程:有機化學概要#118363
112年 · #118363
112年 - 112 地方政府特種考試_三等_化學工程:有機化學#118140
112年 · #118140