阿摩線上測驗
登入
首頁
>
高考◆理综◆安徽省
> 101年 - 2012安徽高考理综试卷#12685
101年 - 2012安徽高考理综试卷#12685
科目:
高考◆理综◆安徽省 |
年份:
101年 |
選擇題數:
20 |
申論題數:
0
試卷資訊
所屬科目:
高考◆理综◆安徽省
選擇題 (20)
1.某同学以新鲜洋葱磷片叶内表皮为不同处理和染色齐染色,用高倍显微镜观察。 下列描述正确的是 (A). 经吡罗红甲基绿染色,可观察到红色的细胞子核 (B). 经吡罗红甲基绿染色,可观察到绿色的细胞质 (C).经健那绿染色,可观察到蓝绿色颗粒状的线粒体 (D).经苏丹Ⅲ染色,可观察到橘黄色颗粒状的蛋白质
2. 蛙的神经远内,外Na+浓度分别是15mmol/L和120mmol/L。在腊电位由内负外正转变为内正外负过程中有Na+流入细胞,膜电位恢复过程中有Na+排出细胞。下列判断正确的是 (A).Na+流入是被动运输,排出是主动运输 (B).Na+流入是主动运输,排出是被动运输 (C).Na+流入和排出都是被动运输 (D).Na+流入和排出都是主动运输
3.嵴椎动物在胚胎发育中产生了过量的运动神经元,它们竞争肌细胞所分泌的神经生长因子,只有接受了足够量神经生长因子的神经元才能生存,并与靶细胞建立连接其他的则发生凋亡。下列叙述正确的是 (A).嵴椎动物细胞凋亡仅发生在胚胎发育时期 (B).一个存活的神经元只与一个靶细胞建立连接 (C).神经元凋亡是不受环境影响的细胞编程性死亡 (D).神经元凋亡是由基因控制的,自动的细胞死亡
4.假若某植物种群足够大,可以随机交配,没有迁入和迁出,基因不产生突变。抗病基因R对感病基因r为完全显性。现种群中感病植株rr占1/9,抗病植株RR和Rr各占4/9,抗病植株可以正常开花和结实,而感病植株在开花前全部死亡。则子一代中感病植株占 (A)、1/9 (B)、1/16 (C)、4/81 (D)、1/8
5.图示细胞内某些重要物质的合成过程,该过程发生在
(A).真核细胞内,一个mRNA分子上结合多个核糖体同时合成多条肽链 (B).原核细胞内,转录促使mRNA在核糖体上移动以便合成肽链 (C).原核细胞内,转录还未结束便启动遗传信息的翻译 (D).真核细胞内,转录的同时核糖体进入细胞核启动遗传信息的翻译
6.留树保鲜是通过延迟采收保持果实品质的一项技术。喷施赤霉素和2,4-D对留树保鲜柑橘的落果率和果实内脱落酸含量的影响如图所示。
下列有关分析不正确的是 (A).喷施赤霉素和2,4-D能有效减少留树保鲜过程中的落果 (B).留树保鲜过程中赤霉素与2,4-D对落果的调控有协同作用 (C).喷施赤霉素和2,4-D能延缓留树保鲜过程中果实脱落酸含量的升高 (D).赤霉素、2,4-D与内源脱落酸对落果的调控有协同作用
7.科学家最近研究出一种环保,安全的储氢方法,其原理可表示为:
下列有关说法正确的是 (A).储氢、释氢过程均无能量变化 (B).
、
均句有离子键和共介键 (C). 储氢过程中,
被氧化 (D).释氢过程中,每消耗0.1mol H
2
O放出2.24L的H
2
8. 下列离子或分子在溶液中能大量共存,通CO
2
后仍能大量共存的一组是 (A).
(B).
(C).
(D).
9.一定条件下,通过下列反应可实现燃煤烟气中硫的回收:
若反应在恒容的密闭容器中进行,下列有关说法正确的是 (A).平衡前,随着反应的进行,容器内压强始终不变 (B).平衡时,其它条件不变,分享出硫,正反应速率加快 (C).平衡时,其他条件不变,升高温度可提高SO
2
的转化率 (D).其它条件不变,使用不同催化剂,该反应的平衡常数不变
10仅用下表提供的玻璃仪器(非玻璃仪器任选)就能实现相应实验目的的是
(A)
(B)
(C)
(D)
11.某兴趣小组设计如下微型实验装置。实验时,先断开K2,闭合K1,两极均有气泡产生;一段时间后,断开K1,闭合K2,发现电流发A指针偏转。
下列有关描述正确的是 (A).断开K2,闭合K1时,总反应的离子方程式为:
(B).断开K1,闭合K2时,石墨电极附近溶液变红 (C).断开K1,闭合K2时,铜电极上的电极反应为:
(D).断开K1,闭合K2时,石墨电极作正极
12.氢氟酸是一种弱酸,可用来刻蚀玻璃。已知25°C时:
在20ml.0.1mol/L氢氟酸的电离方程式及热效应可表示为: (A).
(B).当V=20时,溶液中:
(C).当V=20时,溶液中:
· (D).当V>0时,溶液中一定存在
)
13.已知室 温下,
的K,或溶解度远大于
。向浓度均为0.1mol/L的
和
混合溶液中,逐滴加入NaOH 溶液。下列示意图表示生成
的物质的量与加入NaOH溶液的体积的关系 。合理的是
(A)
(B)
(C)
(D)
14.我国发身的“天宫一号”和“神州八号”在对接前,“天宫一号”的运行轨道高度为350km, “神州八号”的运行轨道高度为343km.它们的运行轨道均视为圆周,则 (A).“天宫一号”比“神州八号”速度大 (B).“天宫一号”比“神州八号”周期长 (C).“天宫一号”比“神州八号”角速度大 (D).“天宫一号”比“神州八号”加速度大
15.一列简谐被沿X轴正方向传播,在t=0j时波形如图1所示,已知波速度为10m/s。则t=0.1s时正确的波形应是图2中的
(A)
(B)
(C)
(D)
16.如图所示,在竖直平面内有一半径为R的圆弧轨道,半径OA水平、OB竖直,一个质量m为的小球自A的正上方P点由静止开始自由下落,小球沿轨道到达最高点B时恰好对轨道没有压力。已知AP=2,R重力加速度为g,
则小球从P到B的运动过程中 (A). 重力做功 2mgR (B). 机械能减少mgR (C). 合外力做功mgR (D). 克服摩擦力做功1/2mgR
17.如图所示,放在固定斜面上的物块以加速度a沿斜面匀加速下滑,若在物块上再施加一竖直向下的恒力F,则
(A). 物块可能匀速下滑 (B). 物块仍以加速度a匀速下滑 (C). 物块将以大于a的加速度匀加速下滑 (D). 物块将以小于a的加速度匀加速下滑
18.如图所示,在平面直角 中,有方向平行于坐标 平面的匀强电场,其中坐标原点O处的电势为0 V,点A处的电势为6 V, 点B处的电势为3 V, 则电场 强度的大小为
(A).200V/m (B).200
V/m (C).100 V/m (D). 100
V/m
19. 如图所示,圆形区域内有垂直于纸面向里的匀强磁场,一个带电粒子以速度v从A点沿 直径AOB方向射入磁场,经过△t时间从C点射出磁场,OC与OB成60°角。现将带电粒子的速度变为v/3,仍从A点沿原方向射入磁场,不计重力,则粒子在磁场中的运动时间变为
(A) 1/2△t (B).2 △t (C). 1/3△t (D).3 △t
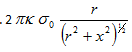
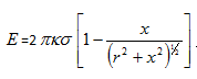
20. 如图1所示,半径为R均匀带电圆形平板,单位面积带电量为σ,其轴线上䵐意一点P(坐标为x)的电场强度可以由库仑定律和电场强度的叠加原理求出:
,方向沿x轴。现考虑单位面积带电量为σ
0
的无限大均匀带电平板,从其中间挖去一半径为r的圆板,如图2所示。
则圆孔轴线上任意一点(坐标为x)的电场强度为 (A).
(B).
(C).
(D).
申論題 (0)
相關試卷
102年 - 2013年(安徽卷) 理科综合能力测试#12678
102年 · #12678
100年 - 2011安徽高考理综试题#12684
100年 · #12684
99年 - 2010安徽高考理综试题#12683
99年 · #12683
98年 - 2009安徽高考理综试题#12682
98年 · #12682
97年 - 2008安徽高考理综#12681
97年 · #12681
96年 - 2007安徽高考理综#12680
96年 · #12680
95年 - 2006年安徽高考 理科综合能力测试#12679
95年 · #12679
94年 - 2005安徽高考理综试题#12747
94年 · #12747
93年 - 2004安徽高考理综试题#12753
93年 · #12753