所屬科目:北水◆工程力學及流體力學
1.右圖中表示某桿件在光滑斜面上的支持(support)方式,根據力學分析,支持部位有幾個未知的反應 (reaction)力?(A)1個(B)2個(C)3 個 (D) 4 個
3.垂直力 120 N 作用於桿件的端點 A 處,如圖所示。請問此 120 N 作用力 對 O 點的力矩(moment)為何?(註:sin60° = 0.866 ,cos60° = 0.5 )(A)1500 Nm (B) 1780 Nm (C) 2250 Nm (D) 2550 Nm
4.某延性材料的拉伸實驗,在線彈性範圍內,測得平均拉應力為 336MPa 時,平均伸長應變為 0.0048,請 問該材料的彈性模數(modulus of elasticity)為何?(A)50GPa(B)60 GPa (C) 70 GPa (D) 80 GPa
5.某個力向量表示為: ,請問 的值為何? (A)-12/13 (B) 3/13 (C) -4/13 (D) 3/14
7.右圖中的受力結構,於力平衡時,FC 為若干 N? (A)1137 N (B) 1143 N (C)1860 N (D) 4140 N
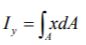
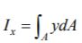
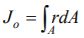
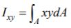
8.在 x, y 的二維座標有一面積 A,該面積上的微小 dA,距離座標原點 O 之距離為 r,下列何者是正確的面 積慣性矩(area moment of inertia)表示式? (A) (B) (C) (D)
10.右圖中的矩形截面受到 40N-m 的力矩,請問抵抗此一力矩而且與變形有關的截面慣性矩(area moment of inertia)的值為何? (A)0.2025 (10 -6 )m 4 (B) 0.54 (10 -6 )m 4 (C) 0.135(10 -6 )m 4 (D) 0.0506(10-6 ) m 4
11.一端固定,另一端連結一個物體,水平放置某螺旋拉伸彈簧,彈簧率(spring rate)表示為 kO在初始位置時彈簧為自由長度,當物體水平移動 x1 距離(位置 1)至 x2 距離(位置 2)時,由位置 1 至位置 2 彈簧對該物體作功為何?(A) (B) (C)(D)
12.如右圖,某矩形截面受到彎矩(bending moment)M=12 kN-m,請問 M 之 y 軸分量M y 是多少 kN-m?
(A)-7.2 kN-m (B) 7.2 kN-m (C) -9.6 kN-m (D) 9.6 kN-m
14.右圖為簡支樑的受力圖,於剪力圖上,何處的剪力(shear force)絕對值是最大的? (A) (B) (C)(D)
15.一個圓形面積的半徑是 R,極座標慣性矩 J o為,對 y 軸的慣性矩 Iy 為 Jo /2,對 y 軸的旋轉半 徑(radius of gyration)k y 為何? (A)2R (B) R/2 (C) R 2 /4 (D) R/4
16.右圖為均佈荷重的簡支樑,下列何者不是最大力矩(moment) M 的所在位置?(A)剪力為零處 (B) dM / dx = 0 處 (C)左方支點處 (D)樑的中央處
17.右圖為兩塊 200mm×30mm 木材合成的 T 型截面,則自底部起 至質心(centroid)的距離 y 為何? (A)115.5 mm (B) 125.5 mm (C) 155.5 mm (D) 157.5 mm
18.某水平懸臂樑(cantilevered beam)的端點受到向下的力 P,EI 值為常數,M (x) = -Px,有關撓曲( v(x)分析,下列敘述何者正確? (A)對 進行 2 次積分可得負荷 (B)對進行一次積分可得斜率 (C)對 進行一次積分可得位移 (D)對 進行 2 次積分可得剪力
20.右圖中齒輪以 O 為中心轉動。一支 400mm 長的桿(rod)OB 連結於 O 處隨齒輪 一併轉動,角速度v 為 8rad/s,角加速度a 為 40rad/s2。請問桿 OB 之質心GOB 的法 線加速度( ) n 為何? (A)12.8 m/s2 (B) 10 m/s2 (C) 8 m/s2 (D) 1.6 m/s2
21.如右圖,一條質量為 m,長度為 l 的鍊條,經由一個小孔自由落至平板上。忽略摩擦效應,開始時 的 y 很小,鍊條經過孔之前一直是靜止的。得知鍊條 A 處的速度 v 的關係式為:,g 為重力加 速度。請問 A 處的加速度為何? (A)g/5 (B) mg/3 (C) g/3 (D) 2g/3
24.右圖中的懸臂樑截面為正方形,請問沿著切面 b-b 的平均剪應力(average shear stress)為何?(註: sin 60° = 0.866 , cos60° = 0.5) (A)286.3 kPa (B) 374.9 kPa(C)125 kPa (D) 216.5 kPa
25.拉力 P 作用於某線彈性桿件,造成δp的位移量。當作用力再增加額外的拉力 Q 時,位移量亦增加 δ q。 下列何者為正確的總作功(work)表示式? (A)拉力 P 作的功表示為 PδP / 2 + Pδq (B)拉力 P 作的功表示為 (C)拉力 Q 作的功表示為 (D)拉力 Q 作的功表示為