阿摩線上測驗
登入
首頁
>
測量平差法
> 102年 - 102年地方考三等_測量製圖#25808
102年 - 102年地方考三等_測量製圖#25808
科目:
測量平差法 |
年份:
102年 |
選擇題數:
0 |
申論題數:
4
試卷資訊
所屬科目:
測量平差法
選擇題 (0)
申論題 (4)
【已刪除】一、在圖 1 中,A、B 為已知水準點,高程為H
A
、H
B
,設為無誤差;P
1
及 P
2
為兩個待 測點,箭頭指示水準路線行進方向;各水準路線觀測高程差 h1~h4 的標準差分別 為:σ
1
= ±0.006 m、σ
2
= ±0.003 m、σ
3
= ±0.002 m 及σ
4
= ±0.008 m 。經過間接觀 測平差後,假設已求得單位權標準差σ
0
= ±0.658 m 。求對應 h
1
~h
4
的權矩陣、P
1
及 P
2
兩點高程的標準差。(25 分)
【已刪除】二、圖 2 所示,為一塊長方形土地面積;圖中所有內角皆為 90 度;有關邊長數據如下:
求長方形土地 ABGF 的面積 Z 及其標準差σ
Z
。(25 分)
【已刪除】三、以 靜 態 GPS 測量,由 A 點測得 B 點之基線三個分量 (ΔX, ΔY, ΔZ) 為 (532.883 m, − 30.265 m, −18.656 m),其變方-協變方矩陣為
(如下所示)。已知 A 點的大地經緯度為(ϕ, λ) = (24
o
50′30′′N,120
o
35′20′′E) ,假設無誤差;而且,以 A 點為原點,觀測 B 點的站心地平坐標 (Δn, Δe, Δu)
T
與 (s, El, Az)
T
、 (ΔX, ΔY, ΔZ)
T
的關 係,可由下列兩個矩陣式表示之;式中,s、Az 及 El,分別代表 AB 兩點之間的距 離、A 對 B 之方位角及高程角。令
= (Δn, Δe, Δu)
T
,求 U 向量、變方-協變方矩 陣
、距離 s 及其標準差σ
s
。(25 分)
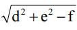
【已刪除】四、若以
代表圓的方程式,圓心為(−d, −e),半徑為
。 如果欲利用下列 6 點的(x, y)資料(單位為 m),擬合一個圓的方程式;以間接觀 測平差法,求該圓的圓心、半徑及其對應之標準差。(25 分)
相關試卷
114年 - 114 專技高考_測量技師:測量平差法#133674
114年 · #133674
113年 - 113 專技高考_測量技師:測量平差法#123916
113年 · #123916
112年 - 112 地方政府特種考試_四等_測量製圖:測量平差法概要#118357
112年 · #118357
112年 - 112 地方政府特種考試_三等_測量製圖:測量平差法#118336
112年 · #118336
112年 - 112 專技高考_測量技師:測量平差法#117672
112年 · #117672
112年 - 112 原住民族特種考試_四等_測量製圖:測量平差法概要#116432
112年 · #116432
112年 - 112 高等考試_三級_測量製圖:測量平差法(包括誤差理論及實務)#115538
112年 · #115538
112年 - 112 普通考試_測量製圖:測量平差法概要#115315
112年 · #115315
111年 - 111 地方政府特種考試_三等_測量製圖:測量平差法#112400
111年 · #112400
111年 - 111 地方政府特種考試_四等_測量製圖:測量平差法概要#112399
111年 · #112399