所屬科目:高中◆資優◆化學
(2)小明利用收集到的二氧化碳氣體進行了下列三個步驟:①將二氧化碳通入澄清石灰水中會變混濁 ②再繼續通入過量二氧化碳則混濁又會變為澄清③加熱澄清液又變混濁。 試問:下列敘述何者正確?(全對才給分) (A)二氧化碳溶於水呈弱酸性 (B) ①乃因生成難溶性的碳酸鈣 (C) ②乃因產生可溶性的碳酸鈣 (D) ③乃因生成難溶性的碳酸氫鈣 (E)二氧化碳的比重小於空氣。
2. 下列各反應方程式: 其中 Q1、Q2、Q3、Q4、Q5 為熱量,且皆為正值,則請將 Q1、Q2、Q3、Q4、Q5 由大至小排列?(全對才給分)
3. 過錳酸鉀和草酸反應,會產生二氧化碳,可以用下列離子反應式表示:試將上式平衡後,分別寫出 x、y、z 的值。(全對才給分)
5. 某金屬(M)的碳酸鹽(MCO3)與稀鹽酸作用,產生二氧化碳的反應式如下: 若 1.68 克的 MCO3 與稀鹽酸完全作用,所產生的氣體,換算成標準狀態的乾燥二氧化碳,恰為 448 毫升, 則 M 之原子量應為若干?(標準狀態時,每 1 莫耳氣體體積為 22.4 升)
9. 設反應時,反應速率與之總表面積成正比,今將正立方體之鋅塊分割成邊長為原來 的小正立方塊後,則鋅塊可分割為若干個小正立方體?反應速率變為原來的幾倍?(全對才給分)
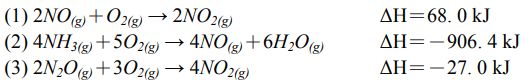
15. 已知熱化學反應式:在相同條件下,反應:)的反應熱為多少 kJ?
17. 有關氧化與還原的反應:假設 A、B、C、D 代表四種不同元素;代表這四種元素的陰離子。 已知可反應,而均不反應。 試問:還原力由強至弱的順序為何?(全對才給分)