所屬科目:研究所、轉學考(插大)-微積分
(a)
(b)
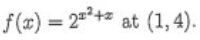
(c)arctan xy=πx/4 at (1,1).
(d)
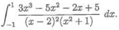
(c)
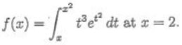
(e)
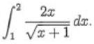
(f)
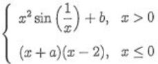
3. Find a and b such that f(x) = is differentiable on R.
4. Find the volume of solid bounded below by the surface z = and above by the surface z =.
(b) Find the minimum value of f(x, y) = subject to the constraint x2+ y2= 4.
6. Evaluate the double integral dA, where R is inside the first-quadrant region lying between the graphs of y = x, y = 2x, xy = 1, xy = 3.