所屬科目:中山◆資工◆工程數學
(a) (12%) Solve the following differential equation by Laplace Transform and Inverse Laplace Transform
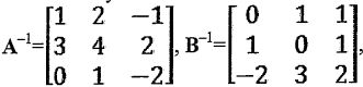
(a) Given
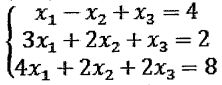
(b) Solve the following linear system by using Gauss-Jordon elimination:
Please show step-by-step operations; otherwise, no points will be given.
(c) Find Rank(A),
5. Fourier Series Find the Fourier series of the function , andf(x+4)=f(x).