所屬科目:研究所、轉學考(插大)-微積分
(a) (5%) Describe the mean-value theorem.
(b) (10%) Use the mean-value theorem to show that 10 + << 10 +[Hint: Consider f(x) = on(1000, 1150)]
2. (10%) Sketch the graph of the functionf(x) = (x3 -x2 - 6x + 2), x∈ [-2, -∞).
3. (10%) Find[Hint: limit of Riemann sums]
(a) (10%)∫sin5x dx.
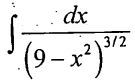
(b) (10%).
5. (10%) We know that the region below the graph of $f(x) =, x≥1 has infinite area. Show that the volume of the solid generated by revolving the region about the x-axis is equal to π.
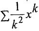
6. (10%) Verify that the series has interval of convergence [-1, 1].
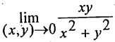
7. (10%) For , evaluate the limit as (x, y) approaches the origin along the line y = mx.
(a) (5%) Find the gradient ∇f(x,y), where f(x,y) = 4x2 + y2.
(b) (10%) Determine the path of steepest descent along the surface f(x, y) = 4x2 + y2 from the point (2, 1, 17).