阿摩線上測驗
登入
首頁
>
有機化學
> 102年 - 102 普通考試_化學工程:有機化學概要#42341
102年 - 102 普通考試_化學工程:有機化學概要#42341
科目:
有機化學 |
年份:
102年 |
選擇題數:
25 |
申論題數:
17
試卷資訊
所屬科目:
有機化學
選擇題 (25)
1 環烷類化合物可視為由許多單元的亞甲基(CH
2
)
n
所組成。若將相同質量的下列環烷化合物燃燒後,何 者釋放出最多的熱能? (A)環丁烷 (B)環戊烷 (C)環己烷 (D)環辛烷
2 3-氯-2-甲基丁烷(3-chloro-2-methylbutane)有幾個立體異構物?
(A)1 (B)2 (C)3 (D)4
3 下列那一個自由基(free radical)的位能最低?
4 下列那一個化合物的官能基在紅外線光譜中不顯現吸收訊號? (A) 2,3-二甲基-2-丁烯 (B) 2-丁炔 (C)苯胺 (D) 2-丁酮
5 下列何者之沸點最高?
(A)CH
3
CH
2
CH
2
CH
2
OH
(B) CH
3
CH(CH
3
)CH
2
OH
(C) CH
3
CH
2
CH(OH)CH
3
(D) CH
3
CH(OH)CH
2
OH
6 下列化合物在氫核磁共振光譜(1H-NMR)上會有幾組質子訊號呈現?
(A)2 (B)3 (C)4 (D)5
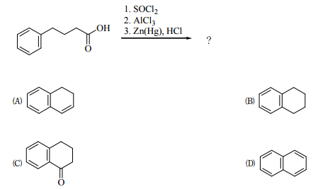
7 下列反應的主要產物為何?
8 下列反應的主要產物為何?
9 下列反應的主要產物為何?
10 下列那一化合物具有最強的鹼性?
11 下列反應的主要產物為:
12 下列反應的主要產物為何?
13 下列何者不是芳香族化合物?
14 下列畫底線的氫,那一個酸性比較強?
15 下列反應流程最終產物 B 的結構式為何?
16 有一未知物的分子式為 C
9
H
10
O,紅外線光譜在 1690 cm
-1
有強吸收訊號,氫核磁共振(
1
H-NMR)光 譜在 1.2 ppm 有三條分裂訊號;3.0 ppm 有四條分裂訊號;7.7 ppm 有多重分裂訊號,此化合物為何?
(A) C
6
H
5
-CH
2
-CH
2
-CHO
(B) C
6
H
5
-CH
2
-CO-CH
3
(C) C
6
H
5
5-CO-CH
2
-CH
3
(D) C
6
H
5
-CH(CH
3
)-CHO
17 預測右列反應的產物:
(註: O* 代表 18O)
18 將環己酮置於濃硝酸中加熱可得下列那一個化合物? (A)沒有反應 (B)環己醇 (C) 2-烴基環己酮 (D) 1,6-己二酸
19 尿素(Urea)的化學式為何? (A) H
2
N-NH
2
(B) H
2
N-CN (C)(H
2
N)
2
C=O (D) H
2
NCO
2
H
20 那一化合物進行水解反應時之反應速率最快?
(A) HCO
2
CH
3
(B) CH
3
CH
2
OCH
2
CH
3
(C) HCOCl (D) HCONH
2
21 化合物 A 與苯磺醯氯(C
6
H
5
SO
2
Cl)反應形成固體沉澱產物,隨後加入氫氧化鈉水溶液,此產物仍然 不會溶解,此化合物 A 為何? (A) 1-己胺 (B)二乙胺 (C)三乙胺 (D)苯胺
22 那一個化合物在甲醇鈉加熱的條件下,最容易進行親核性取代反應? (A)氯苯(chlorobenzene) (B) 2-氯吡啶(2-chloropyridine) (C)3-氯吡啶(3-chloropyridine) (D) 3-氯吡咯(3-chloropyrrole)
23 比較下列兩組化合物鹼性大小:
(A)化合物 A 的鹼性大於化合物 B;化合物 C 的鹼性大於化合物 D (B)化合物 A 的鹼性大於化合物 B;化合物 D 的鹼性大於化合物 C (C)化合物 B 的鹼性大於化合物 A;化合物 C 的鹼性大於化合物 D (D)化合物 B 的鹼性大於化合物 A;化合物 D 的鹼性大於化合物 C
24 D-阿拉伯糖(D-arabinose)和 L-阿拉伯糖(L-arabinose)屬於醛戊糖(aldopentose),二者係依據那 一個位置的碳組態(configuration)來區分 D-型和 L-型? (A)碳 2 (B)碳 3 (C)碳 4 (D)碳 5
25 尼龍 6(nylon 6) 是一種: (A)聚胺甲酸酯(polyurethane) (B)聚酯(polyester) (C)聚碳酸酯(polycarbonate) (D)聚醯胺(polyamide)
申論題 (17)
【已刪除】 ⑴
【已刪除】 ⑵
【已刪除】 ⑶
【已刪除】 ⑷
【已刪除】 ⑸
二、一未知待檢化合物測得其比旋光度為[α]
D
= +60°,而已知其純的(-)-鏡像異構 物為[α]
D
= -100°,試問此待測化合物的(+)和(-)鏡像異構物的比例和鏡像超越 值(enantiomeric excess)為何?(5 分)
【已刪除】三、請寫出下列化學轉化所需要的試劑及經過的中間產物以獲得較高的產率。(5 分)
A
B
⑴提供兩個原因來解釋硫醇的酸度比醇高。(4 分)
【已刪除】 ⑵解釋為何利用下面的方法來製備所示之醚化合物是不會成功的。(3 分)
⑶乙醚未經適當存放而暴露於空氣中過久會產生危險易爆的化合物,寫出這種 化合物的可能結構。(3 分)
A
B
C
D
E
相關試卷
114年 - 114 公務升官等考試_薦任_化學工程:有機化學#133257
114年 · #133257
114年 - 114 調查特種考試_三等_化學鑑識組、醫學鑑識組:有機化學#129586
114年 · #129586
114年 - 114 一般警察特種考試_二等_刑事鑑識人員材料及化學物品鑑析組:有機化學#127790
114年 · #127790
114年 - 114 關務特種考試_三等_化學工程(選試英文):有機化學#126661
114年 · #126661
114年 - 114 關務特種考試_四等_化學工程(選試英文):有機化學概要#126655
114年 · #126655
113年 - 113 調查特種考試_三等_化學鑑識組、醫學鑑識組:有機化學#122084
113年 · #122084
113年 - 113 關務特種考試_三等_化學工程(選試英文):有機化學#119488
113年 · #119488
113年 - 113 關務特種考試_四等_化學工程(選試英文)、化學工程(選試日文):有機化學概要#119484
113年 · #119484
112年 - 112 地方政府特種考試_四等_化學工程:有機化學概要#118363
112年 · #118363
112年 - 112 地方政府特種考試_三等_化學工程:有機化學#118140
112年 · #118140