阿摩線上測驗
登入
首頁
>
個體經濟
> 102年 - 102 淡江大學 轉學考 個體經濟學#53134
102年 - 102 淡江大學 轉學考 個體經濟學#53134
科目:
個體經濟 |
年份:
102年 |
選擇題數:
5 |
申論題數:
16
試卷資訊
所屬科目:
個體經濟
選擇題 (5)
1.假設x,_y>0,下列哪一個效用函數的無異曲線是嚴格凸? (A) U(x,y) = x
3
+y
3
(B) U(x,y) = min(x/3,y/2) (C)U(x,y)2x + 5y (D) U(x,y) = x
3/2
y
1/2
2.假設政府補貼消費者購買某綠能產品,每單位補貼其價格的5%,同時又對消費者課徵 相當於其補貼金額的稅,則消費者對此綠能產品的需求量將有何變動? (A)不變 (B)減少 (C)增加 (D)無法判定
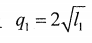
3.某廠商的生產函數是q =
,
I
是勞動數量。給定市場工資率等於22,則廠商生產 16單位的邊際成本等於多少? (A) 2.50 (B) 2.75 (C)3.25 (D) 11
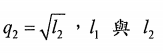
4.某廠商設立兩個工廠,工廠一的生產函數是
,工廠二的生產函數是
分別是兩個工廠的勞動數量。假設廠商總共雇用100個勞工’為使 * 總產量最大,薇商應配置多少勞動在工廠一? (A)80(B)50 (C) 20 (D)無法判定
5.獨占性競爭廠商的長期均衡是下列何種狀態? (A) P = AC = MC (B)P = AC>MR (C) P = MR = MC (D) MR = MC=AC
申論題 (16)
a.假設茶葉蛋與熱狗均免費,則小胖一天各消費多少? (4分)
b.近日醫生警告小胖,一天所吃的茶葉蛋與熱狗兩項加總不得超過4個。此種情況下, 小胖一天將各消費多少茶葉蛋與熱狗? (4分)
c.假設小胖一天的所得是80元,茶葉蛋一個10元,熱狗一個20元。不顧醫生的忠 告下,小胖一天將各消費多少茶葉蛋與熱狗? (6分)
a.請導出小美一週對蔬菜的需求函數(4分)
b.假設蔬菜一單位5元,沙拉醬一單位2元,小美每週的所得800元。小美一週各消 費多少的蔬菜與沙拉醬? (4分)
c.假設蔬菜價格上漲至8元,則小美對蔬菜的需求量有何改變?其中替代效果與所得 效果分別為何? (5分)
d.請在同一圖形上,畫出b與c兩種情況的無異曲線與預算線圖形,並指出消費均衡。 (5分)
a.均衡的工資與就業量分別為何? (4分)
b.假如政府希望透過對雇主的補貼,將均衡工資提高至50元,則雇主每雇用一單位 勞動,政府應補貼多少元?此時,新的就業量是多少? (6分)
c.假如政府改採最低工資,工資率同樣是50元,則就業量為何? (2分)
a.假設兩家廠商同時決定價格,如果訂價相同則平分市場,否則價格低的廠商占有全 部的市場。Nash均衡價格與數量分別為何? (4分)
b. Nash均衡下,每家廠商的產量與利潤分別為何? (4分)
c.市場福利最大的產量為何?與Nash的均衡數量是否相等?如不相等,請計算Nash _均衡下的無謂損失(deadweight loss)。 (5分)_
a.完全競爭市場的均衡價格與數量分別為何? (6分)
b.假如此市場被其中一家廠商併購成一個獨占市場,則均衡價格與數量又分別為何? (6分)
c.獨占造成的社會福利損失有多少?並說明之(6分)