所屬科目:國營事業◆1.單元操作 2.輸送現象
(1)若有粒徑 Dp,th 之觸媒顆粒進入 Cyclone 後有 50 %回收、另 50 %逸散, 求 Dp,th 粒徑。(5 分)
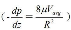
(三) Hagen-Poiseuille()是否可被應用於描述牛頓流體(Newtonian fluid)於水 平同心管中之層狀流動(Laminar flow)?請說明理由。
(一)一稀薄(Dilute)氨水溶液,欲利用一連續逆流之氣提(Stripping)裝置,以空氣來移除水溶液中的氨(NH3)。系統中空氣的莫耳流率為 V,氨水溶液之莫耳流率為 L,且 NH3在氣/液相間的平衡關係可利用 y = 0.8 x 來表示,請問此一操作中,若欲達 95%之移除率 ,則空氣對水溶液之最小流率比為何?此時所需之理想板數為何?(5分)