複選題
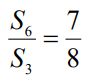
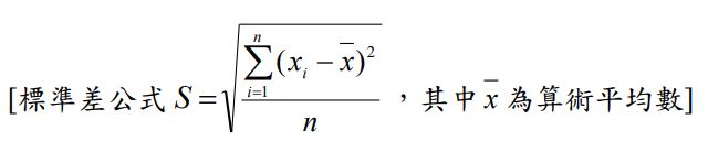
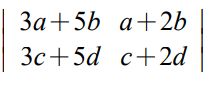
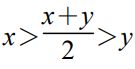
37. 有 5 個數據資料x1 , x2 , x3 , x4 , x5 ,若
,則下列哪些選項是正確的?
(A)x1 , x2 , x3 , x4 , x5 的算術平均數為 10 (B)x1 , x2 , x3 , x4 , x5的標準差為 6 (C)3x1 -1, 3x2 -1, 3x3 -1, 3x4 -1, 3x5 -1 的算術平均數為 25 (D)3x1 -1, 3x2 -1, 3x3 -1, 3x4 -1, 3x5 -1 的標準差為 15 (E)x1 , x2 , x3 , x4 , x5中,若1x=12,則1x的標準化數據為