阿摩線上測驗
登入
首頁
>
統計學
> 102年 - 102 高等考試_三級_統計:統計學#44066
102年 - 102 高等考試_三級_統計:統計學#44066
科目:
統計學 |
年份:
102年 |
選擇題數:
0 |
申論題數:
9
試卷資訊
所屬科目:
統計學
選擇題 (0)
申論題 (9)
一、從參數為 λ 的指數分配中,隨機抽出一組樣本(大小是 5 個),說明此樣本中位數 並不是母體中位數的不偏估計量。(13 分)
【已刪除】二、若 指 數 分 配 其 參 數 為 λ , 當 檢 定 H
0
λ = λ
0
vs. H
a
:λ > λ
0
, 導 出 概 似 比 檢 定 : (likelihood ratio test),並以
表示之。(13 分)
【已刪除】三、王研究員想研究 3 種廠牌咖啡的口味是否有顯著差異,找了 6 位品評員做測試,每 位都隨機次序品嚐這 3 種廠牌的咖啡,評分結果如下:
若對廠牌 A、B 及 C 評分,是服從常態分配,且變異數都相等。在α=0.05 ,試問 廠牌 A、B 及 C 評分是否有相同的平均數?(15 分)
【已刪除】四、從一母體為{1, 2, 3, 4},隨機抽出 n = 2 個為樣本。每抽一個元素為 1、3 或 4 的機 率各為 0.2,抽中 2 的機率為 0.4,採用取出放回的抽樣法。設
,其中 yi 為第 i 次抽中的元素, δ
i
為抽中的元素 y
i
的機率。詳細說明
=τ (τ 為母體元素 總和)是否成立? (15 分)
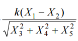
【已刪除】五、若 X
1
、 X
2
、…、 X
5
是服從 N(0, σ
2
)且互相獨立。求 k 值,使得
為 一個 t 分配,並求此 t 分配的自由度為何?(9 分)
⑴計算出(a)、(b)、(c)及(d)之數值。(8 分) 11 11
【已刪除】 ⑵ 若 其 中 兩 家 公 司 之 考 試 資 料 分 別 為 x 與 y , 且
,
。假設α = 0.05 ,檢定兩家公司員工之平均 i =1 i =1 考試分數是否相同?假設兩家員工考試資料的變異數相等。(8 分)
⑶以上⑵與⑴之結果,是否有矛盾的現象?(4 分)
七、有 一 機 率 密 度 函 數 f( y ) = 1/θ , 0 ≤ y ≤ θ 。 在 顯 著 水 準 α = 0.10 之 下 , 欲 檢 定 H
0
:θ =2.0 vs. H
a
:θ <2.0,所採用檢定統計量為 Y
(8)
= max{y
1
, y
2
, ... , y
8
},當θ = 1.7 時,犯型二誤差(type II error)的機率為多少?(15 分)