所屬科目:教甄◆理化專業
3. 有關反應系 Fe3+ (aq) + SCN- (aq) FeSCN2+ (aq)的資料如附圖,對虛線右邊的圖示,下列何者是正確的解釋? 甲圖 乙圖 丙圖 (A)甲:KSCN(s);乙:Fe(NO3)3(s);丙:NaOH(s) (B)甲:NaOH(s);乙:KSCN(s);丙:Fe(NO3)3(s) (C)甲:水;乙:Fe(NO3)3(s);丙:NaOH(s) (D)甲:NaOH(s);乙:Fe(NO3)3(s);丙:水 (E)甲:水 乙:KSCN(s);丙:NaOH(s)
4. 將足量之固體氯化銨置入一體積為 123 升之真空容器中,加熱至 500 K 而達到下列平衡: NH4Cl NH3(g) + HCl(g) , 此時容器內之壓力為 0.050 atm。若溫度維持不變,加入固體氯化銨及氨各 0.10 莫耳後再度到達平衡時,總壓力約為多少? (R = 0.082 L.atm/mol.K; (A) 0.150 atm (B) 0.140 atm (C) 0.090 atm (D) 0.060 atm
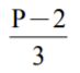
5. 將 b M 的 CH3COOH(aq)(設其解離常數為 Ka)與 b M NaOH(aq) 等體積相混合時,反應後溶液之 [OH− ]可表示為: (A)(B) (C) (D) (E)
8. 在 27 °C、一大氣壓下,將 20.0g 的 MgCO3加入 500 mL 的純水中。經充分攪拌,並靜置一段時間後,取出上層澄清液, 並 測得其滲透壓為 112 mmHg。試問在一大氣壓、27 °C 時,MgCO3的溶度積常數(Ksp)最接近下列哪一個數值? (A) 3.0 ✖ 10−3 (B) 1.0 ✖ 10−3 (C) 9.0✖ 10−6 (D) 3.0✖ 10−6 (E) 1.0 ✖ 10−6
12. 已知鉻酸銀之 Ksp為 4.0 ✖10-12,用 40 毫升的蒸餾水沖洗 1.66 克的鉻酸銀沉澱,可能損失的最大百分比為何?(式量:Ag = 108 , Cr = 52 ) (A)0.08% (B)0.04% (C)0.16% (D)0.016% (E)0.008%
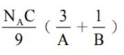
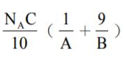
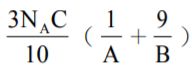
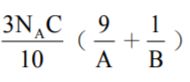
13. 某元素 P,經質譜儀測定得 P 3+ 之 有 A 庫侖∕克及 B 庫侖∕克兩條紋線,又測得紋線的強度比,前者:後者=9:1,則 P 之 平均原子量為何?(設電子之電量為 C 庫侖∕個,NA 為亞佛加厥數) (A) (B) (C) (D) (E) 。
14. 化學反應式為 N2O4(g) 2NO2(g),在 T K、V L 的密閉容器中達到平衡,此時 N2O4 之分解率為 ,平衡系之總壓 為 P1 atm;當溫度升至 2T K,體積仍為 V L ,N2O4 在該容器中之分解率為 ,平衡系之總壓為 P2 atm,求為 何? (A) (B)(C) (D) (E) 。
16. 100 ℃,1 升容器充入氫氣 0.2 克和水 18 克得總壓 P 大氣壓,現使體積增為 3 升,器內總壓為多少大氣壓? (A) (B) (C) (D)。
18. 光合作用反應之平衡式如下所示:6H2O+6CO2(g) → C6H12O6(s)+6O2(g),ΔH=673 kcal。若葉綠素僅吸收 6500 波長之紅光 以合成葡萄糖,試計算欲經光合作用合成 1 g 葡萄糖所需之紅光光子 mol 數為何?(普朗克常數 h=6.626 × 10-34 J s) (A) 84.6 (B) 8.46 (C) 8.46 × 10-1 (D) 8.46 × 10-2。
19. 下列兩氣態粒子間的距離均為 200 ,何者之能量最低? (A) K,I (B) K +,I - (C) K 2+,I 2- (D) K -,I +。
20. 1 atm 下,50 g 水中溶解某非電解質所形成的溶液,沸點升高 t ℃;若又加入水 100 g,則此溶液之沸點應為多少? (A)(373+ t )K (B)(100+ t )℃ (C)(100- t )℃ (D)(373-t )K。
22. 已知 CH3COOH 與 HNO2 之 Ka 分別為 1.8 × 10- 與 4.5 × 10-4,若將 0.8 M CH3COOH 0.6 升與 0.4 M HNO2 0.2 升混合,試求 混合溶液中為何值? (A) 0.50 (B) 0.42 (C) 0.24 (D) 0.16。
25. 在附圖電解實驗中,皆以碳棒為電極,甲、乙、丙電解液分別為CuSO4、 AgNO3及NiSO4,如附圖。當通電一段時間後,則下列敘述何者正確? (原子量:Cu = 63.5、Ag = 108、Ni = 59.0) (A)正極析出氣體質量:甲>乙>丙 (B)負極析出金屬莫耳數:甲 = 丙>乙 (C)負極析出金屬質量:乙>甲>丙 (D)三者所消耗的電量:甲 = 丙>乙
26. 承上題,將甲、乙、丙之正負電極均分別更換為 Cu 金屬、Ag 金屬、 Ni 金屬,如附圖。當通電一段時間後,則下列敘述何者正確? (原子量:Cu = 63.5、Ag = 108、Ni = 59.0) (A)正極的固體質量變化量:甲 = 乙 = 丙 (B)負極析出金屬莫耳數:乙>甲 = 丙 (C) 負極析出氣體質量:甲>乙>丙 (D)三者水溶液中金屬離子的濃度變化量:甲 = 丙>乙
27. 試求 200 秒內,以 NO2表示的平均反應速率()為多少 atm.sec-1? (A) 0.006 (B) 0.005 (C) 0.0075 (D) 0.01
31. 已知下列各難溶鹽之溶度積值: TlCl = 2.0 ✖ 10-4 , TlI = 9.0 ✖10-8 , AgCl = 2.0 ✖ 10-10 , AgI = 9.0 ✖ 10-17 ,將 0.10 莫 耳 AgCl(s) 和 0.20 莫耳 TlI(s) 共置入 1.0 L 純水中,達溶解平衡後,下列敘述正確的有:(A)共有 AgI、TlCl、TlI 三種沉 澱生成 (B) [Ag+ ] = 1.4 ✖ 10-5 M (C) [Tl+ ] = 1.4 ✖ 10-2 M (D) [Cl- ] = 1.4 ✖ 10-5 M (E) [I- ] = 6.4 ✖ 10-6 M
32. 某一手機電池的充放電化學反應式為:2CH3OH + 3O2 + 4OH- 2CO32- + 6H2O,則下列敘述哪些正確? (A)放電時,氧 氣於正極反應 (B)放電時,甲醇於陽極反應 (C)充電時,化學能轉變為電能 (D)放電時,失去 1 莫耳的甲醇,轉移 12 莫 耳的電子 (E)放電時,電解液的 pH 值緩慢下降
33. 某反應 A(g) + B(g) → 3C(g),在 25 °C 時,反應速率與反應物初濃度的實驗數據如下: 則下列敘述,何者正確? (A)此反應為三級反應 (B)[B]的變化比[A]的變化對反應速率的影響較大 (C)反應速率定律為 R = k[A]2 [B] (D)反應速率常數為 1.042 ✖102 mol-2.L 2.min-1 (E)當[A] = 0.40 M,[B] = 0.20 M 時, = 5.56 ✖10-1mol. L -1.min-1
36. 定溫下,體積可變之密閉容器,其初體積為 V,將某定量 Li2O2(s) 置於容器中受熱分解,反應式為:2Li2O2(s) 2Li2O(s) + O2(g)。 達平衡時 O2之壓力為 1 atm 且當時仍有部分 Li2O2(s) 殘留。下列敘述正確的有哪些? (A)如果壓力以 atm 表示時,則平衡常 數 Kp = 1 (B)若平衡後再將容器體積壓縮成,則新平衡時 O2壓力為 2 atm (C)平衡後再將容器體積擴張為 2V,最終生成 O2壓力一定仍為 1 atm (D)若平衡後再額外通入 4 atm 的氧氣,經長時間後,系統壓力一定會降為 1.0 atm (E)若一開始就 加兩倍量的 Li2O2(s) 置入容器中,則平衡時 O2之壓力應為 1 atm
39. 氫氧化鋇(Ksp = 5.4 ✖ 10-3)溶於 1.0 M 的 NaOH 中製成飽和溶液後,取其澄清液,則下列敘述何者正確? (A)與等體積 4 M 的 NaOH 溶液相混合時,產生氫氧化鋇沉澱 (B)與等體積 4 M 的 NaOH 溶液相混合時,鋇離子濃度減低為原液之 (C)與 等體積 4 M 的 NaOH 溶液相混合時,鋇離子濃度變為 Ksp (D)與等體積的水相混合時,鋇離子濃度變為 Ksp (E)與等體 積的水相混合時,鋇離子濃度變為 4Ksp
40. 下列各組沸點或熔點大小順序何項正確? (A) 熔點: (B)沸點: (C)熔 點:新戊烷>正戊烷>異戊烷 (D)沸點:SiH4 > PH3 (E) 沸點:S8 > P4 > Cl2 > Ar
41. 有甲、乙兩容器,乙的體積為甲的兩倍,甲容器內含 1 克的二氧化硫,溫度為 300 K,乙容器內含有 1 克的甲烷,溫度為 600 K,若兩者均為理想氣體,則下列各項性質的比較,何者正確? (A)二氧化硫與甲烷對器壁的碰撞頻率比為 1:8 (B) 甲容器與乙容器內的壓力比為 1:4 (C)二氧化硫與甲烷的分子數比為 1:1 (D)甲容器與乙容器內的氣體密度比為 8:1 (E)二氧化硫與甲烷平均動能比為 1:2。
42. 1000 K 時,CaCO3(s) CaO(s)+CO2(g),Kp=4 atm,在 0.82 升密閉容器中置入 5.6 克 CaO(s),則通入 CO2(g) 的重量為下列何值 時,容器內壓力可達成平衡壓力?(式量:CaO=56;分子量:CO2=44) (A) 1.1 克 (B) 2.2 克 (C) 4.4 克 (D) 8.8 克 (E) 13.2 克。
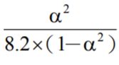
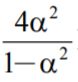
43. 127 ℃、P atm 時,平衡系 N2O4(g)2NO2(g) 中,N2O4 之解離百分率為 α,平衡混合氣體之平均分子量為 M,則下列敘述何 者正確? (A) α= (B) Kp= P(C) Kc= P(D) α= (E) α=。
44. 常溫下,將 N2O4 與 NO2 之混合氣體注入一個 2 升之密閉容器中,使下列達平衡狀態 N2O4(g)(無色) 2NO2(g)(紅棕色)。 將容器體積 V 增倍為 2V,並維持為 2V,且溫度維持不變,達新平衡時 (A) N2O4 的莫耳分率變大 (B)系統的顏色變淡 (C) 系統的 PV(壓力與體積的乘積)值不變 (D) 值變大 (E)系統的平衡常數(Kc)減小。
45. 當同時升溫及縮小體積後,下列何種反應可能不影響其平衡? (A) CO(g)+H2O(g) CO2(g)+H2(g)+熱 (B) 2HI(g)+熱 H2(g) +I2(g) (C) S(s)+O2(g) SO2(g)+熱 (D) CaO(s)+CO2(g)CaCO3(s)+熱 (E) N2(g)+3H2(g)2NH3(g)+熱。
1.依下列數據,回答有關「秒錶反應」(clock-reaction)的問題: 試問 I2能氧化 HSO3- 否?ΔE°為何 ?