所屬科目:冷凍空調工程、電機工程
33.【圖 33】所示的電路中,假如加上 12 V 的直流電壓,並且電路達到穩定狀態,則: (A) (B) (C)(D)
34.上題中,電容器與電感器上的儲存能量分別為: (A)(B)(C) (D)
35.【圖 35】所示的電路中,開關在 t = 0 秒前是閉合很長一段時間,且電路達到穩定狀態,而在 t = 0 秒瞬間開關啟斷,則電容器兩端的電壓方程式為: (A)(B) (C)(D)
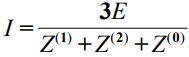
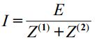
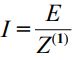
36.電力系統發生三相短路故障,發生短路處之故障前的電壓為 E,等效正相序的阻抗為, 等效負相序的阻抗為,等效零相序的阻抗為,則下列短路電流的計算式何者正確? (A) (B) (C) (D)
39.在一個交流負載兩端測量到 v(t) =150 cos(ωt - 60°),流過該負載的電流為 i (t)= 10 sin(ωt - 10°),則有關該負載 的特性,下列敘述何者正確? (A)電流超前電壓 50°,電容性 (B)電流超前電壓 50°,電感性 (C)電流超前電壓 40°,電容性 (D)電流落後電壓 40°,電感性
42.【圖 42】所示的電橋電路中,R1=20 Ω,R2 =15 Ω,R3 =90 Ω,R4 =25 Ω,R5 =5 Ω, R6 =30 Ω,如果流經 R1的電流為 10 A,則 R6的消耗電功率為多少? (A) 61.2 W (B) 250.5 W (C) 1714 W (D) 2204 W
59.配電工程中,將【圖 59】中 C 接腳連接大地稱為接地,其目的是為了: (A)防止電線走火 (B)防止打雷時破壞電氣設備,為台灣電力公司分攤風險 (C)提高故障偵測的準確度 (D)令插接到插座的用電設備的金屬外殼部位接地,避免漏電時有感電危險
(一)圖中各項參數,所代表的意義為何?【5 分】