阿摩線上測驗
登入
首頁
>
技檢◆熱處理-乙級
> 103年 - 103 全國技術士技能檢定學科_乙級 :02100 熱處理#131691
103年 - 103 全國技術士技能檢定學科_乙級 :02100 熱處理#131691
科目:
技檢◆熱處理-乙級 |
年份:
103年 |
選擇題數:
80 |
申論題數:
0
試卷資訊
所屬科目:
技檢◆熱處理-乙級
選擇題 (80)
1.防止熱處理變形的精密零件,在粗加工與精加工的製程之間,下列何種熱處理最適當(A)淬火回火(B)完全退火(C)弛力退火(D)正常化。
2.勃氏硬度測試時,壓痕直徑應盡量為壓痕器直徑( D )之(A)0.1D以下(B)0.2~0.5D之間(C)0.1~0.2D之間(D)0.5~0.8D之間。
3.喬米尼(Jominy)端面淬火試驗時,試片完全冷卻後,硬度測定前在相對的兩側面,應以磨床磨削約多少深度(A)1.2(B)1.6(C)0.4(D)0.8mm。
4.鹽浴之氯鹽受高溫氧化會產生(A)HCl(B)Cl
2
(C)CO
2
(D)H
2
。
5.過共析鋼,在緩冷時,由沃斯田體變態為雪明碳體的開始溫度為(A)
(B)
(C)
(D)
。
6.銅鋁合金(又稱鋁青銅)其含鋁量必須大於________以上方可實施熱處理來強化其性質。(A)9%(B)6%(C)2%(D)4%
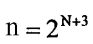
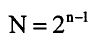
7.碳鋼發生包晶反應時,形成之固相為(A)δ與γ(B)γ與
(C)γ與α(D)α與
。
8.下列何者非純鐵之同素異形體(A)γ(B)α(C)δ(D)β。
9.下圖是針對一項擴音機產品品質不良類別所檢測的「柏拉圖」,依你的看法,此產品品質不良的重點應該是
(A)尾音不良(B)振動不良(C)發信不良(D)音質不良。
10.SKD11常溫加工用工具鋼的化學成分屬於(A)高碳高鉻(B)中碳高鉻(C)中碳低鉻(D)高碳低鉻合金鋼。
11.M2高速鋼淬火溫度約為(A)1260℃~1300℃(B)1190℃~1230℃(C)1350℃~1410℃(D)950℃~1050℃。
12.亞共析鋼沃斯田體化後,施以各種冷卻,不可能得到下列何種組織(A)變韌體(B)初析肥粒體(C)麻田散體(D)初析雪明碳體。
13.SNCM439的碳當量比S45C(A)高(B)差不多(C)不一定(D)低。
14.需實施淬火、回火熱處理的機械構造用鋼之含碳量應在(A)0.8%(B)0.1%(C)0.2%(D)0.6%以上。
15.熱電偶保護管裝入爐內時,在爐內的部分(A)愈短愈好(B)愈長愈好(C)長短無關(D)為保護管直徑之15倍以上。
16.所謂PID溫度控制系統之P是指(A)等差(B)積分(C)微分(D)比例控制。
17.鋁合金的熱處理符號中,固溶處理後先經冷加工,再施予人工時效處理的是(A)T7(B)T9(C)T8
(D)T10。
18.以200倍金相顯微鏡檢視沃斯田體晶粒度,經比較放大100倍之標準圖片為ASTMN0.5,則其實際之晶粒度為ASTM(A)NO.4(B)NO.8(C)NO.7(D)NO.6。
19.機械構造用鋼沃斯田體化後淬火,若冷卻速率不夠,可能出現何種組織(A)沃斯田體(B)肥粒體
(C)回火麻田散體(D)雪明碳體。
20.隨含碳量增加而昇高之變態溫度為(A)A(B)A(C)A(D)Acm。
21.工件經氮化或軟氮化處理後疲勞強度提高的主要原因是(A)氮的擴散層(B)表面的化合物層(C)內部的組織(D)表面張應力。
22.洛氏硬度HR30N70所代表的意義為硬度值70,(A)鑽石圓錐壓痕器,試驗荷重30牛頓(B)鑽石圓錐壓痕器,試驗荷重30Kg(C)φ1.588mm鋼球壓痕器試驗荷重30牛頓(D)φ1.588mm鋼球壓痕器,試驗荷重30kg。
23.為了消除加工硬化之效應,恢復材料之延展性實施(A)完全退火(B)應力消除退火(C)球化退火(D)製程退火。
24.「製程能力」是指對於穩定之製程所持有之特定成果能夠合理達成之能力,因此通常以下列何者為其表示對象?(A)按時交貨能力(B)品質(C)獲利狀況(D)產量。
25.真空爐之爐壓為10Torr表示其壓力為(A)0.01mmAq(B)0.01kg/cm(C)0.01psi(D)0.01mmHg。
26.鹽水淬火液之可以提高鋼之淬火硬化效果的原因為(A)可使S曲線往右移(B)可降低S曲線之Ps點(C)可使氣泡破裂時間延後發生(D)可使氣泡破裂時間提前發生。
27.通常稱為一度電的是(A)200瓦電燈使用5小時(B)1瓩的電(C)1000瓦電燈使用24小時(D)100瓦電燈用一小時。
28.下列何者硬度值與HB最為接近(A)HRB(B)HV(C)HS(D)HRC。
29.滲透探傷法可以檢驗(A)材料內部的砂孔(B)材料表面的裂痕(C)材料內部的裂痕(D)材料表面的刮痕。
30.下列何者不是珠擊法的目的(A)提高工件之疲勞強度(B)消除應力(C)增加工件表面壓應力(D)除銹。
31.變壓器油連續使用之容許溫度為(A)45℃(B)95℃(C)65℃(D)105℃。
32.正六角形螺帽之相鄰兩邊之夾角為(A)135°(B)120°(C)90°(D)60°。
33.以火焰做表面硬化處理,其硬度深度選3mm~5mm可採如下之加熱方式(A)連續多重加熱(B)調整氧氣的流量(C)調整火焰溫度至更高溫以增加熱傳速率(D)延長加熱時間使變態溫度達所需之深度。
34.鋁合金固溶處理後的冷卻方法為(A)空冷(B)爐冷(C)油冷(D)水冷。
35.如以N表示ASTM結晶粒度,n為放大100倍時在每平方英吋中之晶粒數,其間的關係為(A)
(B)
(C)
(D)
。
36.滲碳氮化處理比一般的滲碳處理容易在表面殘留較多量的何種組織(A)沃斯田體(B)肥粒體(C)雪明碳體(D)麻田散體。
37.有關滲碳淬火回火缺陷,下列何者不會造成工件表面硬度降低(A)不完全淬火(B)表面碳量太低
(C)回火溫度太低(D)表面碳量太高。
38.鑄鐵之共晶溫度約在(A)1148℃(B)727℃(C)1495℃(D)912℃。
39.下列那一種熱處理對環境的污染最嚴重(A)輝面熱處理(B)鹽浴熱處理(C)真空熱處理(D)高週波熱處理。
40.某一肥粒體晶粒金相放大100倍,其每平方吋之晶粒數目為256個,則其ASTM晶粒號數為
(A)11(B)8(C)4(D)9。
41.金屬之「熱加工」之定義乃指(A)加熱至730℃以上(B)加熱至該金屬之再結晶溫度以上(C)加熱到工件有火色之溫度(D)工件加溫至室溫以上施行滾軋、鍛壓等加工者。
42.CA(k)型熱電偶(+)側素線之成份為(A)Fe(B)Pt(C)Cu(D)Ni-Cr。
43.SKH2鎢系高速鋼與SKH51鉬系高速鋼比較,後者的(A)切削性能及韌性均較差(B)切削性能較差但韌性較佳(C)切削性能較佳但韌性較差(D)切削性能及韌性均較佳。
44.高週波加熱線圈與工件距離應為(A)1~5mm(B)12~20mm(C)5~8mm(D)8~12mm。
45.可以改善鋼之切削性元素為(A)Mn、Al(B)S、P
b
(C)Cr、Ni(D)Si、P。
46.熱電偶溫度計係利用下列何種原理來測定溫度(A)電磁波(B)頻率(C)電動勢(D)電阻。
47.鋁門窗一般是擠製成型,一般常使用之鋁合金之代號為(A)1100(B)7075(C)6063(D)2024。
48.機械構造用鋼沃斯田體化後淬火,晶界出現微細波來體,其原因必定是(A)沃斯田體化溫度太高(B)沃斯田體化溫度太低(C)沃斯田體化時間不夠(D)冷卻速度不夠快所致。
49.下列有關雪明碳體何者敘述錯誤(A)通常以分佈相存在(B)是一種化合物(C)硬脆(D)結晶構造為體心立方格子。
50.有一工件經低溫鹽浴滲碳後,實施沃斯回火則應(A)先浸入一中性鹽浴加熱爐再行淬入麻回火鹽浴爐中(B)先以強風吹去鹽液再行淬入麻回火鹽浴爐中(C)令鹽液滴完後再行淬入麻回火鹽浴爐中(D)直接淬入麻回火鹽浴爐中。
51.淬火硬化之鋼料可以選擇之硬度試驗為(A)HRC,HRF,HV(B)HRC,HRA,HRH(C)HRC,HV,HS(D)HRC,HRB,HV。
52.加熱時之A
l
變態稱為(A)
(B)
(C)Ar"(D)
。
53.下列那一種鋁合金材料,不能實施析出硬化熱處理(A)7000系(B)6000系(C)3000系(D)2000系。
54.對於鋼材的結晶粒的敘述,下列何者錯誤(A)愈細轉脆溫度愈高(B)愈細強韌性愈高(C)愈細硬度愈高(D)愈粗硬化能愈大。
55.實施深冷處理的目的之一為(A)降低硬度(B)增高韌性(C)增大延展性(D)穩定組織。
56.氣體滲碳氮化工件表面較不易電鍍,乃因表面何種組織造成(A)氮化物層(B)波來體(C)麻田散體
(D)肥粒體。
57.熱電偶之熱電動勢之單位為(A)mG(B)mV(C)mΩ(D)mA。
58.工具鋼而言,下列有關淬火後之殘留沃斯田體之敘述何者不正確(A)降低耐磨性(B)低溫回火二次時充分將其分解(C)造成硬度不均不足(D)影響尺寸安定性。
59.SKS3工具鋼通常採用之熱處理方式是(A)油淬後低溫回火(B)水淬後高溫回火(C)油淬後高溫回火(D)水淬後低溫回火。
60.鋼料實施麻回火後的組織為(A)肥粒體+變韌體(B)波來體(C)變韌體(D)麻田散體+變韌體。
61.抗拉試片平行部直徑為10mm,破斷後在斷裂處之直徑為5mm,則其斷面縮率為(A)75%(B)85%(C)25%(D)50%。
62.最適合做為沃斯回火的淬火熱浴為(A)熱風(B)熱油(C)鹽浴(D)流體床爐。
63.公制三角螺紋之螺紋角為(A)45°(B)30°(C)55°(D)60°。
64.ADI鑄鐵是實施何種熱處理而得(A)麻淬火(B)麻回火(C)沃斯回火(D)恒溫退火。
65.公制圖面,內孔或圓環內徑標註如下圖φ30尺寸,其「H
7
」表示此孔或內徑為
(A)基孔制7
級公差(B)基軸制7級公差(C)孔徑深度7mm(D)孔內粗糙度7級。
66.氮化用鋼中主要合金元素為(A)Al、Cr、Mo(B)Al、W、Si(C)Cu、Pb、Ni(D)W、Pb、Mo。
67.兩種數據之間的相關性,可以用「散佈圖」來觀察。例如在下圖中,你認為在強度與硬度之間
(A)看不出來(B)有正相關(C)無相關(D)有負相關。
68.下列組織何者硬度最大(A)雪明碳體(B)波來體(C)麻田散體(D)變韌體。
69.淨化不銹鋼熱處理件表面,最有效的化學藥品是(A)鹽酸(B)硫酸(C)氟酸+硝酸(D)草酸。
70.不銹鋼熱處理時,為了工件表面的光輝性,使用下列何種爐氣最理想(A)AX氣體(B)N氣體(C)DX氣體(D)RX氣體。
71.硬化能良好的鋼材,下列敘述何者錯誤(A)必須快速淬火(B)不易退火軟化(C)質量效應小(D)容易淬火硬化。
72.亞共析鋼以金相觀測含碳量,較佳之熱處理狀態是(A)正常化(B)淬火(C)完全退火(D)淬火-回火。
73.裝有高壓氣體之容器,其溫度應保持在(A)40℃(B)50℃(C)60℃(D)30℃以下。
74.高碳工具鋼淬火前的組織必需為(A)正常化組織(B)波來體組織(C)球化組織(D)均質化組織。
75.較適合施予表面滲氮處理的鋼種是(A)S15CK(B)SACM645(C)SNCM415(D)SCM415。
76.有效硬化深度0.3~0.5mm的滲碳或滲碳氮化工件之硬度測定,下列何種硬度試驗可得最正確的硬度值(A)HRB(B)HRC(C)HB(D)HRA。
77.鋼材在大氣中加熱時,會產生氧化鱗皮的下限溫度是(A)570℃(B)450℃(C)300℃(D)650℃。
78.鋼料實施沃斯回火後的組織為(A)回火麻田散體+變韌體(B)波來體(C)變韌體(D)麻田散體+變韌體。
79.高週波感應硬化之有效硬化層深度決定方法為(A)HV523以上的深度(B)HV500以上的深度(C)HV550以上的深度(D)視含碳量之不同有不同的標準。
80.以硬度分佈試驗測定高週波表面硬化處理件之有效深度時,宜將有效深度硬度值設定為(A)視鋼料含碳量及用途而定(B)HV513(C)HV550(D)HRC50。
申論題 (0)
相關試卷
114年 - 02100 熱處理 乙級 工作項目 11:電工 1-7(2025/10/15 更新)#132219
114年 · #132219
114年 - 02100 熱處理 乙級 工作項目 10:製圖 1-17(2025/10/15 更新)#132218
114年 · #132218
114年 - 02100 熱處理 乙級 工作項目 09:品質管理 1-19(2025/10/15 更新)#132217
114年 · #132217
114年 - 02100 熱處理 乙級 工作項目 08:加工製造法 1-26(2025/10/15 更新)#132216
114年 · #132216
114年 - 02100 熱處理 乙級 工作項目 07:材料試驗 51-81(2025/10/15 更新)#132215
114年 · #132215
114年 - 02100 熱處理 乙級 工作項目 07:材料試驗 1-50(2025/10/15 更新)#132214
114年 · #132214
114年 - 02100 熱處理 乙級 工作項目 06:金屬材料的種類、成份、性質及用途 51-94(2025/10/15 更新)#132213
114年 · #132213
114年 - 02100 熱處理 乙級 工作項目 06:金屬材料的種類、成份、性質及用途 1-50(2025/10/15 更新)#132212
114年 · #132212
114年 - 02100 熱處理 乙級 工作項目 05:溫度測定法及溫度自動控制法 1-28(2025/10/15 更新)#132211
114年 · #132211
114年 - 02100 熱處理 乙級 工作項目 04:前處理及後處理方法 1-20(2025/10/15 更新)#132210
114年 · #132210