所屬科目:研究所、轉學考(插大)-微積分
1. For what value of the constant m is differentiable at x = 0?
2. Find the horizontal asymptote of the graph of y = x tan.
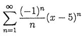
3. Find the interval of convergence of the power series.
6. Evaluate the integral.
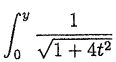
1. Suppose that :c and y are related by the equation x = dt.Show that d2y/dx2 is proportional to y and find the constant of proportionality.