阿摩線上測驗
登入
首頁
>
有機化學
> 103年 - 103 地方政府特種考試_三等_化學工程、衛生檢驗:有機化學#41454
103年 - 103 地方政府特種考試_三等_化學工程、衛生檢驗:有機化學#41454
科目:
有機化學 |
年份:
103年 |
選擇題數:
0 |
申論題數:
22
試卷資訊
所屬科目:
有機化學
選擇題 (0)
申論題 (22)
【已刪除】 (一)
【已刪除】 (二)
【已刪除】(三)
【已刪除】 (四)
【已刪除】 (五)
【已刪除】 (六)
【已刪除】 (七)
【已刪除】 (八)
【已刪除】二、請描述費雪吲哚合成法(Fischer Indole Synthesis)的反應機構。(10 分)
【已刪除】(1)合成聚苯乙烯時加入下列化合物會在聚合物結構中造成何種現象?
【已刪除】(2)以(S)-(+)-lactide 為單體,用鹼催化的條件下所得到的聚合物結構為何?
【已刪除】(1)解釋下圖所示的酯(R 為烷基)在鹼性的條件之下進行水解非常困難,可是在酸 性的條件之下進行水解卻非常容易。
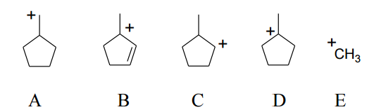
【已刪除】(2)下列碳陽離子(carbocations)A 至 E 的穩定性,請由大至小排列之:
(1)三級丁基溴(tert-butyl bromide)(3 分)
(2)2-甲基丙烯(2-methylpropene)(3 分)
(3)異丁醇(isobutyl alcohol)(4 分)
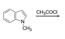
【已刪除】六、請寫出下圖的反應物 A 至 E 以完成 C
6
H
5
COCH
3
的製備。(每小題 2 分,共 10 分)
【已刪除】(一)
【已刪除】(二)
八、指出下列那些醇與 10%氫氧化鈉、碘化鉀/碘水溶液加熱攪拌反應後可產生黃色的碘 仿固體?(4 分)並請說明理由。(6 分)(CH
3
)
2
CHOH ; CH
3
CH
2
OH ; CH
3
CH
2
CH
2
CH
2
CH
2
OH
【已刪除】九、請寫出下列反應的反應機構,(7 分)並指出反應物帶有*的碳,反應後會是產物 那一個位置的碳,請以*表示出來。(3 分)
【已刪除】十、請寫出合理的反應機構。(10 分)
相關試卷
114年 - 114 公務升官等考試_薦任_化學工程:有機化學#133257
114年 · #133257
114年 - 114 調查特種考試_三等_化學鑑識組、醫學鑑識組:有機化學#129586
114年 · #129586
114年 - 114 一般警察特種考試_二等_刑事鑑識人員材料及化學物品鑑析組:有機化學#127790
114年 · #127790
114年 - 114 關務特種考試_三等_化學工程(選試英文):有機化學#126661
114年 · #126661
114年 - 114 關務特種考試_四等_化學工程(選試英文):有機化學概要#126655
114年 · #126655
113年 - 113 調查特種考試_三等_化學鑑識組、醫學鑑識組:有機化學#122084
113年 · #122084
113年 - 113 關務特種考試_三等_化學工程(選試英文):有機化學#119488
113年 · #119488
113年 - 113 關務特種考試_四等_化學工程(選試英文)、化學工程(選試日文):有機化學概要#119484
113年 · #119484
112年 - 112 地方政府特種考試_四等_化學工程:有機化學概要#118363
112年 · #118363
112年 - 112 地方政府特種考試_三等_化學工程:有機化學#118140
112年 · #118140