阿摩線上測驗
登入
首頁
>
有機化學
> 103年 - 103 普通考試_化學工程:有機化學概要#42163
103年 - 103 普通考試_化學工程:有機化學概要#42163
科目:
有機化學 |
年份:
103年 |
選擇題數:
25 |
申論題數:
17
試卷資訊
所屬科目:
有機化學
選擇題 (25)
1 在胜肽(Peptide)中連結二個胺基酸的碳-氮鍵:
(A)具有雙鍵性質
(B)用催化氫解(catalytic hydrogenolysis )可裂解之
(C)具有顯著的參鍵特性
(D)類似離子鍵
2 下列那種醣類不進行銀鏡反應?
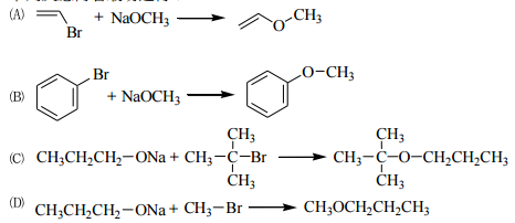
(A)葡萄糖
(B)蔗糖(C)乳糖(D)麥芽糖
3何者是下列反應的主要產物?
4 下列反應的主產物為何?
5 苯硫酚磷酸酯(或磷酸三苯硫酯)的結構式為:
6 具有構造式
的陰離子的中文名稱為:(A)
(B)
(C)
(D)
7 下列化合物的氫核磁共振光譜中,那一組氫核的譜線分裂最多?
(A)a (B)b (C) c(D)d
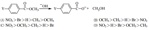
8 下列水解反應之速率與對位取代基(Y)有密切關連,就取代基 Y 而言,水解速率依序應為:
9 4-乙醯基苯磺酸(4-acetylbenzenesulfonic acid)的結構式為:
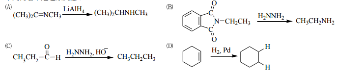
10 下列何者不是還原反應?
11 下列胺類何者具有光學活性?
12 下列羰基何者之伸張振動頻率最大?
13 下列那一個化合物主要以水合物(hydrate)存在?
14 二個分子的乙醛在酸或鹼的催化下會反應產生:(A) 1,3-丁二醇 (B)3-羥基丁酸 (C)3-羥基丁醛 (D)3-羥基-2-丁酮
15 下列轉換,何者屬於還原反應?
16 下列試劑何者較適合使用於催化醇類化合物轉化成醚類化合物?(A) 硫酸(B) 氫溴酸 (C)磷酸 (D)氫氯酸
17 有一化合物,C4H10O,其氫核磁共振光譜(1H NMR)吸收訊號:δ=1.0(雙重峰,6H),1.5(多重 峰,1H),3.8(雙重峰,2H)及4.4(單峰,1H),其結構式為: (A)CH
3
CH
2
CH
2
CH
2
OH (B)(CH
3
)
2
CHCH
2
OH (C)CH
3
CH(OH)CH
2
CH
3
(D) (CH
3
)
2
CHOCH
3
18 下式所示反應的主要產物為:
19 下列化合物何者在與臭氧反應並以 CH
3
SCH
3
處理後產生(OHC)
2
CH CH
2
CH(CHO)
2
?
20 下列那一個環烯化合物在與溴反應時之主產物為 ?
21 用何種試劑可區別
? (A)AgNO
3
水溶液 (B)NaOH 水溶液(C) NaHCO
3
(D)水溶液 Br
2
的 CCl
4
溶液
22 下列化合物,何者屬於非共軛雙烯?
23 對於 S
N
l 反應的敘述,那一個是錯誤的? (A)速率隨溫度升高而增加 (B)離去基X 愈好,反應速率愈快 (C)當 X 是離去基時,反應的活化能等於 C-X 鍵的鍵能 (D) 反應速率與攻擊基的性質無關
24 碳碳單鍵之鍵長約為: (A) 0.5Å(B) 1Å (C)1.5Å (D)2Å
25 下列反應何者最易進行?
申論題 (17)
【已刪除】(1)
【已刪除】(2)
【已刪除】(3)
【已刪除】(4)
【已刪除】(5)
【已刪除】 (6)
【已刪除】(7)
【已刪除】(8)
【已刪除】 (9)
【已刪除】 (10)
A
B
C
D
E
【已刪除】三、2,5-二苯基呋喃(C
16
H
12
O;2,5-diphenylfuran),其分子結構式如下圖所示,在酸 性水溶液催化下水解可獲何種產物?請寫出產物的分子結構式 A;若此產物與氨 (NH
3
)進行縮合反應(condensation)則又可得何種產物?請寫出產物的分子結構 式 B。(10 分)
【已刪除】四、下列製備目標化合物的方法有缺陷,不是有效的合成反應,試指出其錯誤,並改正之。(10分)