阿摩線上測驗
登入
首頁
>
計算機概論、大意(資訊科學概論,電腦常識,電子計算機概論)
> 103年 - 103 鐵路特種考試_員級_電子工程:計算機概要#20313
103年 - 103 鐵路特種考試_員級_電子工程:計算機概要#20313
科目:
計算機概論、大意(資訊科學概論,電腦常識,電子計算機概論) |
年份:
103年 |
選擇題數:
40 |
申論題數:
0
試卷資訊
所屬科目:
計算機概論、大意(資訊科學概論,電腦常識,電子計算機概論)
選擇題 (40)
1 與一般下載型視訊影片相比,下列何者不是串流影片的好處? (A)無需取得完整影片即可開始觀賞 (B)線上觀賞時等待時間可以較少 (C)觀賞端所需儲存空間較小 (D)畫面品質較佳
2 下列那一個問題無法透過資料庫正規化(normalization)來改善? (A)資料表間重覆的資料 (B)資料表中新增資料後產生的異常 (C)資料間的不一致性(inconsistency) (D)查詢處理(query processing)時間過長
3 將八進位數字(0475)
8
轉換為十六進位其結果應為何? (A) 23F (B) 13D (C) D2C (D) 43D
4 下列關於 CISC(complex instruction set computer)與 RISC(reduced instruction set computer)的比較, 何者正確? (A) RISC CPU 因為指令結構較為精簡,所以功能與效能都較 CISC CPU 差 (B) CISC CPU 因為指令結構較為複雜,所以較適合用管線方式(pipelining)來執行指令 (C) RISC CPU 的記憶體存取動作通常只能靠載入(load)與儲存(store)指令來完成 (D) CISC CPU 因為指令結構較為複雜,所以需用到的暫存器數量也較多
5 在分頁機制中,如果一個程序(process)需要存取的分頁(page)在分頁表(page table)內顯示的狀態 為 invalid 時,下列那一種情形會發生? (A) Cache miss (B) TLB miss (C) Page fault (D) Starvation
6 有關 CPU 運用管線(pipeline)的方式執行指令,下列敘述何者正確? (A)可以減少每一道指令執行的時間,並提升 CPU 單位時間執行指令的數目 (B) CPU 正要執行的指令,若其所需要讀取的資料是還在 pipeline 中執行之指令的執行結果,這會造 成 pipeline 遲滯(stall)的問題,此稱為 control hazard (C) CPU 有時候須根據還在 pipeline 中執行之指令的執行結果,來決定接下來要執行那一個指令, 這會造成 pipeline 遲滯(stall)的問題,這稱為 data hazard (D) data hazard 的問題,可以利用 compiler 安排指令順序的方式來避免或改善
7 以下資訊領域常用的單位中,何者為衡量印表機解析度的單位? (A) ppm (B) dpi (C) bps (D) ppi
8 下列的邏輯閘(logic gate)組合中,何者無法實作出所有可能的布林函數(Boolean function)? (A) AND, OR, NOT (B) XOR (C) NAND (D) NOR
9 下圖表示 4×4 乘法器(4×4 multiplier)之部分積(partial products),其具有 2 個 4 位元的輸入變數
,試問下列敘述何者錯誤?
(A)此乘法器為無號數(unsigned)乘法器 (B)此乘法器為浮點(floating-point)乘法器 (C)此乘法器可以利用加法器(adder)完成 (D)此乘法器可以利用 4 個 2×2 無號數乘法器完成
10 對一個 16MB 的位元組可定址(byte addressable)的記憶空間,其位址線需要有幾條? (A) 16 (B) 20 (C) 24 (D) 28
11 下列那一項機制與作業系統對 Multiprogramming 模式的支援無關? (A) Process scheduling (B) Virtual machine (C) Time sharing (D) Demand paging
12 下列記憶體頁(memory page)置換演算法中,何者會遭遇到畢雷地現象(Belady’s anomaly)? (A)最佳頁置換演算法 (B)先來先出演算法 (C)最久之前用到置換出演算法(LRU) (D)置換出未來最可能用到的頁演算法
13 將許多計算機聯結起來處理工作的系統,一般稱之為何? (A)分散式系統(distributed system) (B)大型電腦(mainframe) (C)伺服器(server) (D)嵌入式系統(embedded system)
14 以下何者適合以陣列(array)來實作(implement)?①佇列(queue) ②堆疊(stack) ③堆積(heap) ④雜湊表配合線性探測法(hashing with linear probing) (A)①②適合;③④不適合 (B)①②④適合;③不適合 (C)①②③④皆適合 (D)①②③④皆不適合
15 程式 A 之時間複雜度為 Θ(n2 ),而程式 B 之時間複雜度為 Θ(n lg n)。下列敘述何者正確? (A)當 n 很大時,執行程式 B 會比執行程式 A 花更多的時間 (B)程式 B 比程式 A 擁有較低的時間複雜度 (C)程式 A 與程式 B 可能是同一演算法在不同電腦上執行的情形 (D)程式 B 的時間複雜度是線性的
16 下列關於樹的中序走訪(inorder traversal)、前序(preorder)走訪和後序(postorder)走訪的敘述何者 正確? (A)由樹的中序走訪和前序走訪的順序可以唯一決定樹的內容 (B)由樹的前序走訪和後序走訪的順序可以唯一決定樹的內容 (C)前序走訪和後序走訪的順序剛好完全顛倒 (D)一個 n 個元素(n>1)的樹不可能有完全一樣的前序走訪和中序走訪的順序
17 在一個以英文字母 A、B、C、D、E 組成的檔案裡,各字母出現的次數分別為:A=250 次,B=1000 次,C=200 次,D=250 次,E=500 次。如利用 Huffman 編碼(Huffman encoding),則記錄此檔案 (不計算記錄對應之 Huffman 樹本身)共需要使用多少個位元(bits)? (A) 4550 (B) 4600 (C) 4850 (D) 4900
18 下列關於一個具有 20 個節點(vertices)、30 個邊(edges)的無向圖(undirected graph)中所找到最 小生成樹(minimal spanning tree)的敘述,何者錯誤?(註:假設無向圖中 30 個邊的權重(weights) 均相異。) (A)原無向圖一定不是最小生成樹 (B)原無向圖中最小的邊一定是最小生成樹的一部分 (C)一定存在一節點,其連出去的最小邊是最小生成樹的一部分 (D)一節點若有兩個或兩個以上的邊連出去,則最大的邊一定不會是最小生成樹的一部分
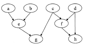
19 下圖是一個無迴圈有向圖(directed acyclic graph),則下述各組節點(vertex)造訪順序,何者不是 這個圖的 topological order?
(A) abcdefgh (B) abecdfgh (C) abcdfheg (D) abegcdfh
20 將下列五個整數依下列步驟排序的演算法為何? 原始資料序 66 25 12 22 11 第一次比序並交換位置後 11 25 12 22 66 第二次比序並交換位置後 11 12 25 22 66 第三次比序並交換位置後 11 12 22 25 66 第四次比序並交換位置後 11 12 22 25 66 (A)氣泡排序法(bubble sort) (B)選擇排序法(selection sort) (C)快速排序法(quick sort) (D)合併排序法(merge sort)
21 某雜湊表(hash table)有 13 個儲存位置。假設雜湊函數(hash function)為 h(k)=k mod 13,且此雜 湊表使用線性探測法(linear probing)來處理碰撞(collision)。若將 28、30、41、23、47、54、17 等 7 個數字依序存入後,則搜尋某數字時,最差的情況需要與表內多少個數字作比對? (A) 1 (B) 3 (C) 5 (D) 7
22 下列 C 語言程式碼執行後輸出為何?
(A) 1 (B) 2 (C) 3 (D) 4
23 在下列的 C 程式片段中,定義了一個結構和一個副程式:
假設指標 p 指向一個以 struct node 建立起來的鏈結串列(linked list),且 node 內的 data 值依序為 1、 2、3。則若執行完 unknown(p, 4)後,指標 p 指向的鏈結串列其 node 內的 data 值依序為何? (A) 1、2、3、4 (B) 1、2、3 (C) 4、3、2、1 (D) 4、1、2、3
24 下列以 C++語言撰寫的程式執行後的輸出為何?
(A) P (B) PP (C) PPP (D) PPPP
25 已知執行下列 C 語言敘述前 i 的值為 8,請問執行後 count 和 i 的值各為何? count=++i; (A) count=8, i=8 (B) count=8, i=9 (C) count=9, i=8 (D) count=9, i=9
26 下列以 C 語言撰寫之程式,執行後會輸出什麼結果?
(A) 20 (B) 15 (C) 10 (D)無法輸出結果
27 執行下列 C 程式後,產生的輸出為何?
(A) 30, 36 (B) 15, 15 (C) 20, 35 (D) 20, 36
28 物件導向程式設計(object-oriented programming)中,以下有關公開繼承(public inheritance)的敘述 何者錯誤? (A)是一種 is-a 的關係 (B)子類別(derived class)擁有父類別(base class)的所有特性 (C)子類別可以直接使用父類別中的私用資料成員(private data member) (D)子類別可以改寫父類別中已存在的函式
29 下列的 Java 語言程式執行後輸出為何?
(A) 1 (B) 2 (C) 3 (D) 4
30 以國際標準組織(ISO)所制定的開放系統互連架構(OSI)為主,下列何種工作是呈現層(presentation layer)所規範? (A)錯誤更正 (B)最佳路徑選擇 (C)流量控制 (D)資料壓縮
31 下列何種裝置,會將數位訊號轉換為類比訊號? (A)數據機 (B)路由器 (C)集線器 (D)交換器
32 下列有關 CSMA/CD 的敘述,何者正確? (A)主動偵測碰撞,發現碰撞之後會進入退讓(backoff)程序 (B)退讓時間為一固定值 (C)重傳次數越多,退讓時間越短 (D)可運用 NAV(Network Allocation Vector)的機制減少傳送資料時發生碰撞的機率
33 通常 TCP 協定不提供下列那一項服務? (A)錯誤控制 (B)最小頻寬保證 (C)流量控制 (D)壅塞控制
34 下列何者是全球資訊網(World Wide Web)用來傳送網頁的通訊協定? (A) RTP(Real-Time Transport Protocol) (B) FTP(File Transfer Protocol) (C) SMTP(Simple Mail Transfer Protocol) (D) HTTP(HyperText Transfer Protocol)
35 下列對 Mobile IP 的敘述何者錯誤? (A)每個 Mobile Node 都會有一個 Home Network (B)每個 Home Network 都會有 Home Agent (C) Mobile Node 離開 Home Network 後所拜訪的網路稱為 Foreign Network (D)每個 Foreign Network 都會有 Foreign Agent
36 下列各種排序演算法(sorting algorithms)在其最糟的情況(worst case)下,何者的計算時間複雜度 最低? (A)氣泡排序法(bubble sort) (B)合併排序法(merge sort) (C)快速排序法(quick sort) (D)選擇排序法(selection sort)
37 下列有關數位簽章(digital signature)的敘述何者錯誤? (A)不同訊息的數位簽章應該不同 (B)數位簽章加入時戳(timestamp)則更能增加其安全性 (C)簽章者利用私鑰簽章 (D)數位簽章無法提供不可否認性(nonrepudiation)服務
38 如果有人針對網頁輸入特殊的字串,使應用程式執行非原來所設計的 SQL 命令,以便從後端的資料 庫中竊取資料,則此種惡意行為屬於下列何者? (A) SQL 攻擊(SQL injection attack) (B)網路釣魚(phishing) (C)跨網站指令碼(cross site scripting) (D)阻斷服務攻擊(denial of service)
39 在全球資訊網(World Wide Web)的架構中,透過下列何者可以讓網站伺服器(Web server)追蹤使 用者,以求避免使用者必須重複輸入帳號密碼? (A)快取(cache) (B)小型文字檔案(cookie) (C)快速應用軟體發展工具(rapid application development tool,簡稱 RAD tool) (D)共通閘道介面(common gateway interface,簡稱 CGI)
40 在用 2 的補數表示負數的 4 位元機器中,下列何者表示十進位負 3? (A) 0011 (B) 1011 (C) 1100 (D) 1101
申論題 (0)
相關試卷
115年 - 115 身心障礙特種考試_四等_資訊處理:計算機概要#138974
115年 · #138974
115年 - 115 關務特種考試_四等_資訊處理(選試英文):計算機概要#138972
115年 · #138972
115年 - 115 身心障礙特種考試_四等_電子工程:計算機概要#138951
115年 · #138951
115年 - 115 身心障礙特種考試_五等_電腦打字:計算機大意#138949
115年 · #138949
115年 - 115 身心障礙特種考試_三等_電子工程:計算機概論#138849
115年 · #138849
114年 - 114 地方政府公務特種考試_四等_電子工程、電信工程:計算機概要#134700
114年 · #134700
114年 - 114 地方政府公務特種考試_四等_資訊處理:計算機概要#134674
114年 · #134674
114年 - 114 地方政府公務特種考試_三等_電力工程、電子工程、電信工程:計算機概論#134565
114年 · #134565
114年 - 114 專技高考_電子工程技師:電子計算機原理#133573
114年 · #133573
114年 - 114 交通事業港務升資考試_員級晉高員級_技術類—港務:電子計算機概論#133232
114年 · #133232