阿摩線上測驗
登入
首頁
>
工程數學(應用數學, 線性代數、微分方程、複變函數與機率)
> 103年 - 103 高等考試_三級_電力工程、電子工程、電信工程、醫學工程:工程數學#17766
103年 - 103 高等考試_三級_電力工程、電子工程、電信工程、醫學工程:工程數學#17766
科目:
工程數學(應用數學, 線性代數、微分方程、複變函數與機率) |
年份:
103年 |
選擇題數:
20 |
申論題數:
5
試卷資訊
所屬科目:
工程數學(應用數學, 線性代數、微分方程、複變函數與機率)
選擇題 (20)
1. 定義曲線 C 為 x = t, y = t 及 z = t
2
,其中0 ≤ t ≤ 2,求函數ϕ (x, y) = x + y 沿曲線 C 之線積分。 (A)8 (B)32/3 (C)8 √2 (D)26 √2 / 3
2 設 f 和 g 為可微分(differentiable)純量函數,v 和 u 為可微分向量函數,則有關它們的梯度(gradient)、 散度(divergence)與拉普拉斯算子(Laplace operator)的等式,下列何者錯誤?
3 令向量函數 F = [ y
2
, z, x
2
],曲線 C 為螺旋圓弧線 r(t) = [2cost, 2sint, t]從 (2, 0, 0) 到 (-2, 0, π),則線積分
之值為何?
4 令 u, v, w 為空間中向量,則下列敘述何者錯誤? (A)u ⋅ (u × w) = 0 (B)u ⋅ (ν × w) = (w × u) ⋅ v (C)u × (v × w) = (u × v) × w (D)u ⋅(v + w) = u ⋅ v + u ⋅ w
設
,則其反矩陣 A-1的特徵值之積為何? (A)-3 (B)3 (C) -1/3 (D) 1/3
一個矩陣
,則以下何者不是其特徵向量(eigenvector)? (A)x = (2, -4, 6) (B)x = (2, 0, 6) (C)x = (2, 2, 0) (D)x = (-1, 0, 1)
有關正交矩陣(orthogonal matrices)A 的特性,下列何者錯誤? (A)A 的行向量(column vector)都互為正交 (B)A 的列向量(row vector)都互為正交 (C)A 的行列式值(determinant)為 1 或-1 (D)A 的特徵值(eigenvalues)全為實數
下列選項何者為 e
z
= 1+2i 的一解,其中i = −1 :
9 令 λ1, λ2, λ3為矩陣
的特徵值(eigenvalues),其中
,試問下列何者正確?
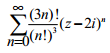
10 針對複數冪級數(complex power series)
的敘述,下列何者正確? (A)此冪級數僅在 z = 2i 收斂 (B)此冪級數在| z − 2i | < 1/ 27 的開放圓(open disk)內為收斂 (C)此冪級數在| z − 2i | < 27 的開放圓內為收斂 (D)此冪級數在所有複數 z 均收斂
11 假設 C 為沿著逆時針方向繞圓周 | z | = 2,試求積分
為何? (A)0 (B)πi (C)1 (D)2πi
12 下列何項常微分方程式之 x = 0 為不規則奇點(irregular singular point)?
13 設微分方程式
的解 y(x) 的拉式轉換為
,試求常數 a 及 0 y ,並判定 下列何者正確? (A) 4 a + y0 = (B) 3 a + y0 = (C) 2 a + y0 = (D) 1
14 已知
,以下何者為
?
15 試找出微分方程式 y′′ + λy = 0, y(0) = 0, y (L) = 0 之特徵值(eigenvalues)λ m (m = 1, 2, 3,...) ?
16 下列何者不可能是微分方程式 y′′ + Ay′ + By = 0 的解?其中 A 和 B 為常數。 (A) 2 x (B) 3x+4 e (C)e + x 2 (D) cos(3 4)
17 有一個週期為 L 的函數 f ( x)= x
2
, 0< x< L z ,展開成
,請問bn 為何?
18 離散隨機變數 X 與 Y 之結合機率質量函數(joint probability mass function)為:
,試問下列何者正確?
19 二枚錢幣出現正面之機率分別為 1/3 及 1/2 ,同時投擲該二枚錢幣連續 3 次,試求二枚錢幣皆出現正面剛好 2 次之機率為何? (A) 1/72 (B) 5/72 (C) 3/32 (D) 5/36
20 假設 50 歲以上的成年人罹患癌症的機率為 0.05,而醫生將患有癌症病患成功篩檢出來的機率為 0.78,但 是將沒有患病的成年人錯誤篩檢為有癌症的機率為 0.06。請問針對此癌症篩檢來說,一位 50 歲以上的成 年人會被檢測出他有癌症的機率為何? (A)0.039 (B)0.096 (C)0.057 (D)0.05
申論題 (5)
【已刪除】一、請用拉普拉斯轉換法解微分積分方程式
【已刪除】
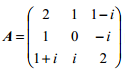
。求解 A 的反矩陣(inverse matrix)。(10 分)
三、試找出一平面 Ax+By+Cz= D, D≠0上距離原點 (0,0,0) 最近一點之座標。(10 分)
剛好二顆藍色骰子皆為 6 點且剛好三顆綠色骰子皆為偶數點數。(7 分)
藍色骰子出現 6 點之數量同於綠色骰子出現 6 點之數量。(8 分)
相關試卷
114年 - 114 專技高考_電機工程技師:工程數學(包括線性代數、微分方程、複變函數與機率)#133679
114年 · #133679
114年 - 114 專技高考_電子工程技師:工程數學(包括線性代數、微分方程、向量分析、複變函數與機率)#133677
114年 · #133677
114年 - 114 調查特種考試_三等_電子科學組:工程數學#129578
114年 · #129578
114年 - 114 國家安全情報特種考試_三等_電子組(選試英文):工程數學#127780
114年 · #127780
113年 - 113 專技高考_電子工程技師:工程數學(包括線性代數、微分方程、向量分析、複變函數與機率)#123976
113年 · #123976
113年 - 113 專技高考_電機工程技師:工程數學(包括線性代數、微分方程、複變函數與機率)#123971
113年 · #123971
113年 - 113 調查特種考試_三等_電子科學組:工程數學#122110
113年 · #122110
113年 - 113 身心障礙特種考試_三等_電力工程:工程數學#119517
113年 · #119517
112年 - 112 地方政府特種考試_三等_電力工程、電子工程:工程數學#118376
112年 · #118376
112年 - 112 專技高考_電機工程技師:工程數學(包括線性代數、微分方程、複變函數與機率)#117639
112年 · #117639