所屬科目:一二三等大管輪◆輪機工程與主機
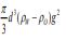
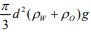
3. 在油與水混合櫃內,只要在櫃內能保持靜止不動,且放置 時間長久,則根據地心引力對各種不同比重物質產生不同 作用之原理,油與水間必能產生分離力,若 Fs 表油水分離 力, 為水比重, 為油比重, d 為油或水小圓珠直徑, g 為重力加速度,此分離力Fs可由下列何式表示之? (A) (B)(C) (D)
14. 由圖 10-7 所示,船舶於圖中何處之傾側力矩等於扶正力矩?(A) (B) (C) (D)
15. 根據圖 3 所示船舶阻力變化時主機與螺槳之配合變化關係, 船舶自正常航行 ( 曲線 1) 改變為阻力減少之狀況時,以下 那 一 項敘述為錯誤? (A) 此時若主機燃油 開度不變,則主機與螺槳之配合點自 A 移到 c (B) 主機與螺槳配合 點移到 c 點時船舶 是處於超轉速工況 (C) 此時若要維持額 定轉速,需調降 燃油開度,讓主 機工作於部分負荷速度特性曲線 2 上之 f 點 (D) 此時若要維持額定轉速,需調降燃油開度,讓主機工作於部分負 荷速度特性曲線 3 上之 d 點
18. 由圖 1 所示, 卡諾循環效率何者為正確?(A) η carnot =1-(T 2 /T 1 ) (B) η carnot =1-(T 1 /T 2 ) (C) η carnot =(T 1 /T 2 )-1 (D) η carnot =(T 1 /T 2 )-1
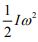
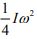
39. 旋轉物體中 I 為慣性矩(moment of inertia),而 ω 為角速度 ,則其動能應為: (A) I ω (B) I ω 2 (C) (D)
47. 當外力F作用於質點上,使其沿某一曲線運動時,所產生的 功為U。s 1 、s 2 =質點於運動開始及末了離參考點的距離。 Ft=外力F的切線分量。ds=質點沿其運動曲線,位置的微小 變化。則U= (A) F(s 2 -s 1 ) (B) F t (s 2 -s 1 ) (C) (D)