5. (12%) Suppose that we have independent random samples of n₁, n₂,..., nₖ observations from K population. Denote by
...,
the K group sample means and by
the overall sample mean. We define the following sums of squares:
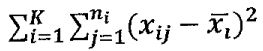
Within group sum of squares (SSW) =
Between groups sum of squares (SSG) =
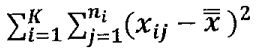
Total sum of squares (SST) = 
where Xᵢⱼ denotes the jᵗʰ sample observation in the iᵗʰ group. Please show the following
relationship
SST = SSW + SSG