所屬科目:研究所、轉學考(插大)-微積分
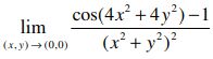
1. 求下列各極限:(1)=________
1. 求下列各極限:(2)=________
2. 求經過曲線 3(x² + y²)² = 100xy 上點 P(3,1) 之切線方程式為何?
3. 何謂微積分基本定理(The Fundamental Theorem of Calculus)?
4. 平面上給定一點 P(0,2),試在函數 y = f(x) = 4 - x² 的圖形上找一點 Q,使 P 與 Q 兩點的距離最短_________。
5. 求兩曲線: y = f(x) = x³, y = g(x) = x 所圍成的區域之面積為何?
6.tan x dx = ln(p), 則 p=________
7. 求dx =________
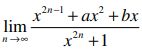
8. 設 f(x) = , -1 ≤ x ≤ 1。若 f 為連續函數,則數對(a, b)=________
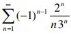
9. 求=________
10. 求=________
(a)判斷 f 在 x = 1 處是否可微分(differentiable)?為什麼?
(b)並求= ?
(a) 請求出 f(x) 的局部極值,與所有漸近線之方程式。
(b)並畫出 y = f(x) 的圖形。
3. (a)將 f(x) = ln(x) 表為在點 x = 1 展開的 Taylor 級數。
(b) 利用(a)的結果,求無窮級數的和。
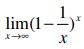
4. 求= ?