所屬科目:研究所、轉學考(插大)-微積分
2. Find the derivative of (x2 +1)(x2+3x+2),__(2)__ ; and the derivative of ,__(3)__.
3. Let function f(x)=3x5-5x3 has domain D1=[-], then its global maximum is at __(4)__ on D1. Let function has domain D2 =[1,10], then its global minimum is at __(5)__ on D2.
4. Suppose f(x)=x3 and x=(z-1)(z+1).Then=__(6)__. (Please express it in z.)
Suppose=__ (7)__ . (Please express it in z.)
5.Suppose=__(8)__.
6. The value of sin(x2)dx is__(9)__ , and the value ofxin xdx is __(10)__.
2. Suppose,0<x,y<∞.Weknow that w=x+y.Then f(w)=__(2)__.
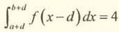
3. Let f be an integrable function on [a, b] and a <d <b. Suppose and=__(3)__.
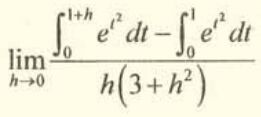
4. The value of is__(4)__.
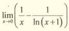
5. The value of is__(5)__.